临湘海螺5000t/d生产线工程A标
立磨施工方案
编号:LXHN-2009-
版本:第一版
编制人:
审核人:
批准人:
安徽江南建设工程有限公司
目 录
一、编制依据……………………………………………………………
二、工程概况……………………………………………………………
三、施工准备……………………………………………………………
四、施工顺序……………………………………………………………
五、施工人员及机械安排………………………………………………
六、施工方法……………………………………………………………
七、质量保证措施………………………………………………………
八、安全保证措施………………………………………………………
九、施工阶段砼浇筑块体的温度、温度应力的验算…………………
十、模板验算……………………………………………………………
十一、附 图……………………………………………………………
一、编制依据
1.1 临湘海螺水泥有限公司5000t/d熟料水泥生产线工程《原料粉磨-CK磨部分C94-03S-01~07施工蓝图》。
1.2 现行国家建筑施工及验收规范、规程及标准。
1.3 国家质量安全、文明施工规定。
1.4 岩土工程勘察报告。
1.5结合本公司以往施工经验总结。
二、工程概况
临湘5000t/d水泥熟料生产线位于临湘市白云镇灰山村,CK磨基础±0.00相对绝对标高77.00米,基底标高为-6.5米,基础顶标高+0.3m,基础尺寸为19.6×13.662米,砼等级为C30,基础砼量1500m3。
磨机基础以第6层白云质灰岩作为基础持力层,地基承载力特征值fsk=6000kpa,超深部分用C15毛石砼垫至设计标高(每边宽出200mm), 基础有10个350×350深2600mm方孔与12个250×250深1000mm方孔。立磨螺栓组采用砼框架进行支撑,基础外围采用100mm厚聚苯乙烯泡沫塑料(容重41kg/m3,压缩10%时抗压强度大于0.2Mpa)隔板带及大于500宽的级配砂石回填作为减振层。
本工程重点:大体积砼的浇筑、预埋螺栓的精确度、深基坑土方开挖。
三、施工准备
1、材料
水泥:选用海螺牌PC32.5级水泥 (800T)
碎石:级配良好的粗骨料 (1600T) 砂:中砂 (700T)
水:自来水 掺合物:减水剂(6T)
胶合板:δ=16mm(915mm×1830mm)草袋:400条
方木:60×80mm 脚手板:
钢管:φ48×3.5mm 扣件:若干只
洞口模盒及预埋件制作好,编号分类摆放
2、 作业条件
(1)施工前要对相关管理人员及班组进行详细交底。
(2)浇筑砼前检查各种准备情况,如:各种材料供应是否满足连续浇灌的需要;配料机、输送泵、振动棒等是否正常工作。
(3)劳动力安排要能满足连续施工作业。
(4)模板、钢筋、预埋件和预埋孔洞等均按设计要求施工完毕,并经隐蔽验收检查。 。
(5)检查相应的水、电,防止施工时水、电中断,夜间施工要准备充足的照明设施。
四、施工顺序
土方开挖▽-3.00~▽-6.600~设计要求的岩层→地基钎探→超深砼填充→基础下部钢筋网片→固定螺栓组框架施工→预埋螺栓组件→加强钢筋焊接→孔洞模板固定架及钢筋固定骨架的焊接→侧面钢筋网片→侧模的安装→封顶面钢筋网片→浇筑砼→养护保温→拆模施工减振层→原坑回填→+0.3m以上结构施工→交安→二次浇注
五、施工人员及机械安排
立磨施工劳动力组织表
| 工作地点 | 工种 | 人数 | 工作内容 |
| 钢筋工 | 20 | 钢筋绑扎、钢筋、配合电焊工焊接钢筋, | |
| 木工 | 20 | 检查模板系统,组装、收分模板、安装埋件、调整标高、
查水平、校中心、填记录表。 |
|
| 砼工 | 24 | 浇筑砼 ,找平、收光 | |
| 普工 | 12 | 配合各工种,砼养护 | |
| 电焊工 | 2 | 焊接预埋件、加固。 | |
| 电工 | 2 | 照明、通讯、电动电源安装及检修。 | |
| 管理人员 | 5 | 施工管理、技术处理、劳动力组织及调配,质量检查、记录、施工汇报,检查岗位责任,安全防护及监督。 |
注:本表为一班劳动力组织,共计83人,
拟投入立磨基础的主要施工机械表
| 序号 | 机械名称 | 规格、型号 | 定额功率/ 容量/ 吨位 | 数量 |
| 1 | 挖土机 | 1m3 | 3 | |
| 3 | 推土机 | TY100 | 4KW | 1 |
| 4 | 吊车 | QY20 | 20t | 1 |
| 5 | 装载机 | ZL30 | 3 | |
| 6 | 砼搅拌机 | 强制式 | 0.5m3 | 4 |
| 7 | 砼输送泵 | HBT-60 | 60m3/h | 2 |
| 8 | 钢筋对焊机 | UN-150 | 150KW | 1 |
| 9 | 钢筋弯曲机 | WJ40-1 | 3KW | 1 |
| 10 | 钢筋切断机 | GD-40D | 1 | |
| 11 | 交流电焊机 | BX3-300-2 | 23.4KW | 5 |
| 12 | 电渣压力焊机 | BXI1000 | 45KW | 2 |
| 13 | 潜水泵 | QY-3.5 | 2.2KW | 5 |
| 14 | 冲击电钻 | VV508S | 0.52KW | 2 |
| 15 | 插入振动器 | HZ-50 | 1.1KW | 6 |
| 16 | 平板振动器 | 1.1KW | 2 | |
| 17 | 切割机 | G228 | 2KW | 1 |
| 18 | 发电机 | 275KW | 1 |
六、施工方法
-
-
- 土方工程:
-
⑴根据地质报告现场±0.00(绝对标高77.00)处土质为第5-1红粘土,承载力达fak=250mpa。
⑵本工程基坑采用放台阶大开挖的方法进行作业。1m3反铲挖掘机挖土,卸土车土方外运。
⑶施工前先按照土方开挖图放出开挖上口线,清理开挖范围内障碍物,做好土方开挖准备工作。
⑷本工程采用分层大开挖的方法进行。第一层控制在-3.6m,开挖过程中及时放坡,土方应及时清运至业主指定弃土地点,基坑周围3米以内不得堆放土方。第二层基础土方开挖前,重新按照土方开挖图放出开挖边线,本工程要求在第一层土方开挖后的作业面上留置4米宽作业面后一次性开挖至设计要求标高-6.6m;土方开挖放破系数-3.6m以上采用1:0.5,-3.6m以下采用1:0.75;土方开挖时应及时挖好排水沟、集水井,严禁基坑内长时间浸水。
⑸由于本次大开挖喂料楼及旋风收尘器基底土方被挖除,因此基础完成后要及时对基础超深部位进行处理。
⑹土方开挖完毕后,基坑周围及时设置防护栏杆,夜间必须配备安全警示灯,防止作业人员跌落地坑。
-
-
- 模板工程:
-
⑴为确保喂料楼及旋风收尘器工期节点要求,待磨机基础超深处理完之后处理喂料楼及旋风收尘器至基底标高。
⑵本工程采用15mm厚木模板,模板加固采用ø48×3.5钢管及60×80方木双背楞,ø12对拉螺杆双向间距600mm进行固定。其固定架应有足够的刚度、强度及稳定性,模板顶撑应牢固、可靠。支设前模板表面应涂刷一层隔离剂。(模板加固见附图)
⑶10个350*350深2600mm方孔与12个250*250深1000mm方孔根据图纸要求采用花纹钢板焊接预埋。(预留孔加固见附图)
⑷预埋底板及翻转液压缸底座铁件加固为固定螺栓组框架。
⑸模板加固计算书见后页
⑹模板及预留孔预埋件偏差见下表:
预埋件预留孔洞的允许偏差:
| 项 目 | 允许偏差(mm) | |
| 预埋钢板中心线位置 | 3 | |
| 预埋管、预留孔中心线位置 | 3 | |
| 插 筋 | 中心线位置 | 5 |
| 外露长度 | +10,0 | |
| 预埋螺栓 | 中心线位置 | 2 |
| 外露长度 | +10,0 | |
| 预留洞 | 中心线位置 | 10 |
| 尺 寸 | +10,0 | |
现浇结构模板安装的允许偏差及检验方法
| 项 目 | 允许偏差(mm) | 检验方法 | |
| 轴线位置 | 5 | 钢尺检查 | |
| 底模上表面标高 | ±5 | 水准仪或拉线、钢尺检查 | |
| 截面内部尺寸 | 基 础 | ±10 | 钢尺检查 |
| 柱、墙、梁 | +4,-5 | 钢尺检查 | |
| 层高垂直度 | 不大于5m | 6 | 经纬仪或吊线、钢尺检查 |
| 大于5m | 8 | 经纬仪或吊线、钢尺检查 | |
| 相邻两板表面高低差 | 2 | 钢尺检查 | |
| 表面平整度 | 5 | 2m靠尺和塞尺检查 | |
-
-
- 钢筋工程:
-
3.1准备工作
3.2熟悉施工图纸 ,按施工图纸、及国家规范标准规定进行放样和配筋。
3.3钢筋进场后,应按配料单进行复核,如有遗漏与规格不符合与现场成型班组联系和解决,当要代换时,应征得技术部门和设计单位的同意。
3.4砼施工完毕,弹出柱头位置线,钢筋工应及时对相应部位的钢筋逐一检查和校正。
3.5受力钢筋之间的绑扎接头、对焊接头应相互错开,以任一绑扎接头中心至1.3倍搭接长度区段范围内,有绑扎接头的受力钢筋截面占受力钢筋总截面积百分率,应符合下列规定:
A受拉区不得超过25%;
B受压区不得超过50%。
3.6钢筋接长:直径>Ф25钢筋采用焊接或机械连接,并按照规范要求进行取样送检;对直径≤Ф25的钢筋可直接采用绑扎搭接,搭接长度、接头位置、锚固长度等应满足规范要求。钢筋搭接长度为45d,锚固长度为36d。
3.7本工程的钢筋采用加工场机械加工,经检查验收合格后方可运至现场绑扎成型。骨架采用Φ20@1200架高2200支承基础钢筋网片。钢筋绑扎时,应做到绑扎合理、布点均匀,钢筋的搭接长度、数量必须符合设计及规范要求,模板支设前必须挂好(或垫上)垫块。垫块采用水泥砂浆制作50×50×δ(δ为保护层厚度)。
3.8预埋插筋加固见附图
-
-
- 减振层作法:
-
基础侧面模板拆除,在外围满挂100mm厚挤塑泡沫隔振,施工完毕后回填大于500mm厚级配砂石。
-
-
- 砼工程:
-
本工程砼属于大体积砼浇筑,砼量1500m3,砼强度等级为C30。砼采用搅拌站集中拌制固定式输送泵运输砼。
-
-
-
- 材料要求:
-
-
所有进场材料必须有合格证或检验报告,对于需复检的必须按有关规定进行复检。材料员、质量检查员还必须对进场材料数量、规格、出厂日期、外观质量进行检查。检查结果记录在《材料到货记录》和《材料质量证明书台帐》上。水泥采用海螺牌PC32.5复合硅酸盐水泥,水泥必须有出厂合格证和进场复检报告。并对品种、标号、包装或散装仓号、出厂日期等检查验收,做好记录。材料员质量检查员若对水泥质量有怀疑或水泥出厂日期超过三个月后,应进行复检试验,并按试验结果使用,严禁使用过期、受潮以及混入有害杂质的水泥;使用粗骨料应尽量选用粒径较大、级配良好的粗骨料,砂、碎石必须洁净,不得含有超标的水泥土、泥块、有机杂质及有害物质。
-
-
-
- 计量要求:
-
-
根据水泥水化热及当地水泥品种,本工程采用PC.32.5复合硅酸盐水泥。计量时派专人负责管理,并且保证水泥的称量误差在±2%,并在砼浇筑地点现场检查砼的坍落度,坍落度允许偏差为±30mm,砼各成份不得过多过少,否则会影响砼凝结过程中的水化热的大小,并根据试验配比等,根据原材料含水率含适当调整施工配合比。砼内掺入水泥用量1%的木质素磺酸钠减水剂。
-
-
-
- 搅拌要求:
-
-
运转工在搅拌砼前。将搅拌机加水空转3分钟,将积水倒净,搅拌第一盘时考虑到筒壁上的砂浆损失。碎石用量应按配合比减半,运转工及计量员必须认真负责,严格按配合比中各成份用量及计量要求进行搅拌。搅拌机加料时应按碎石、水泥、砂、水顺序投入搅拌机中。为了保证砼中各成份搅拌充分均匀地分散及砼浆熟透,搅拌时间对于强制式搅拌机不少于90S。
-
-
-
- 砼的浇筑:
-
-
本工程的砼浇筑采用分层的浇筑方法,分层厚度300mm,从一边推进式浇筑。(浇筑方式见附图)
砼拌制采用现场集中搅拌,地泵输送至浇筑点。我单位拟采用二台500L强制式搅拌机、二台350滚筒式搅拌机进行搅拌,每小时砼搅拌量为40m3,采用分层浇筑每300mm砼量为76m3,2小时内浇筑完毕,砼初凝时间按照210分钟以内,浇筑上层砼时下层砼不得初凝。
砼振捣采用插入式振动棒振捣,根据以往大体积砼施工经验,在每层浇筑带布置两道振动器。一道位于卸料处,另一道位于砼坡脚处,随着砼浇筑推进,振捣器相应跟上。同时根据现场经验,采用二次振捣工艺。增加砼密实性,提高砼抗裂度。另根据砼浇筑方向布置三个班组振捣,班组及班组之间接合部位,必须注意砼的浇筑时间及振捣时间,振捣范围等。以保证砼交接部位不出现漏振,少振现象(上下班次之间)并做好施工记录,将施工质量落实到班组,落实到个人。振动捧移动次序可采用行列式,也可采用交错式,振捣过程中注意避让预埋管、预留洞;振动棒移动半径控制在30cm以内,以防止砼漏振,少振现象发生,沿斜面自下而上振捣,振捣砼距离模板不应大于振捣器作用半径的0.5倍。一般为200mm,并应避免碰撞钢筋、模板等。砼下料必须由砼捣固手指挥,以保证砼均匀铺设、分层合理、振点均匀。在某部位振动器振捣延续时间应使砼表面呈水平状,出现水泥浆和不再出现汽泡,不再显著下沉,振动时间振动棒一般为20秒。砼捣固手应具有高度责任心,在振捣砼时应按快插慢拔的原则。
对于预留孔洞附近必须加强振捣,砼工必须下至底板网片内进行振捣。为确保砼浇筑时模板。不胀胎、钢筋不变形、孔洞不移位。浇筑过程中配备木工、钢筋工检查调整,一旦发现异常情况,必须停止砼继续浇筑,及时进行加固处理,处理合格后方可继续浇筑砼。
砼浇筑过程中,由于浇筑坡度的存在必然产生泌水和浮浆顺流现象,通过垫层坡度等措施浆泌水及浮浆清除。砼浇筑到顶面后,按标高用刮尺浆泌水刮干,必要时须进行二次振捣。砼初凝前用铁滚筒辗压,木抹打磨压实,木抹搓毛后,表面压光不少于两遍,以闭合收缩裂缝。12小时后覆盖两层草袋,对于预留孔洞内表面必须覆盖草袋浇水养护。
-
-
-
- 砼保温养护
-
-
为了减少砼表面的热扩散,减少温度梯度,延长散热时间防止砼产生表面裂缝和贯穿裂缝。在砼顶面覆盖不透水、气的塑料薄膜养护,用薄膜把砼表面敞露的部分全部严密地覆盖起来,保证砼在不失水的情况下得到充足的养护。表面覆盖一层草袋保护层,防止破坏其表面。基础侧模拆除后及时施工减振层,使基础整体达到保温目的,该基础保温时间不少于20天。
为防止砼产生干缩裂缝以及提高砼的极限抗拉强度,采用浇水养护,使砼表面始终保持潮湿状态,表面保温养护不少于14天。
-
-
-
- 砼循环水降温
-
-
由于本工程混凝土为大体积,固砼浇筑完毕后内部温度高,为防止因内部温度过高使砼产生温度裂缝,因此在砼浇筑前应敷设砼冷却水管,循环水管网布置见附图。
-
-
-
- 砼温度监测
-
-
为了掌握砼不同深度温度场的变化,以及内外温差的发展规律,以便采取相应措施,确保工程质量。采用预埋钢管设置测温孔,测量点布置温度计测温的方法。对砼不同的部位,及深度进行温度测定。测温次数按1天~6天,每3h一次,7天~15天,每8h一次,砼的内外温差控制在25oC以内,并根据每天测定的温度(同时间)取最不利温度即砼上表面温度取最低值,砼中心温度以最高值,砼下表面温度值取最低值填入中测温点逐日温度升降表中。然后根据表中,实测温度值和温度升降曲线计算升降温时,砼累计拉应力来进行裂缝控制。并采取保温措施,使砼不出现结构贯穿裂缝。即加强养护,保温(覆盖草袋、及时回填),使砼缓慢降温、缓慢收缩、提高砼抗拉强度及抗裂安全度。(测温孔布置见附图)
-
-
-
- 试块的留置:
-
-
本工程为大体积砼连续浇筑,按每200m3留设一组试块,共计8组,在湿度90%,温度20±3oC条件下养护,并每24小时取一组试块置于与结构柱等条件下养护,以便测定不同安全期的强度。试块砼在浇筑地点,随机取样、制作,其数量 不少于试块所需用量的1.5倍。
(9)表面处理
泵送混凝土表面水泥浆较厚,在浇筑后及时清除浮浆并补充砼。初凝后用人工凿毛砼表面,以保证二次砼的结合层。
(10)混凝土浇筑注意事项:
1、浇筑前,应清除模板内的积水,铁丝,铁钉等杂物,并以水湿润模板。使用钢模应保持其表面清洁无浮浆,检查模板和脚手架,钢筋,预埋件等符合要求后方可进行浇筑。
2、采用插入式振捣器捣实混凝土的移动间距,不宜大于其作用半径的1.5倍,振捣器距离模板不应大于振捣器作用的半径的1/2;并应尽量避免碰撞钢筋,模板,预埋管等,振捣器应插入下层混凝土5cm.
3、浇筑混凝土应连续进行。
(11)砼拆模:
拆模时应注意勿使模板混凝土结构受损。应注意:
侧模板应在砼强度能保证其表面及棱角不因拆模板而受损坏时拆除;
在拆模过程中,如发现砼有影响结构安全质量问题时,应停止拆除,并报技术负责人研究处理后拆除;
已拆除模板及其支架的结构应在砼达到设计强度后,才允许承受全部计算荷载,当施工荷载大于设计荷载是,应经研究加设临时支撑。
七、质量保证措施
1、组织有关施工人员认真熟悉图纸,做好图纸会审。
2、统一组织有关施工人员,认真做好各项各级滑模工艺技术交底工作,项目复核人做好技术复核和变更联系工作,严格按照图纸和国家规范施工。
3、明确职责,质量实行监理、质量检查员和施工班长三级复核。
4、做好测量,定位,放线工作,并经甲方复查签证。
5、做好施工记录并设立专职人员负责施工技术资料整理和签证工作。
6、根据天气温度及时在砼中掺入外加剂,严格控制好砼初凝和终凝时间及砼的出模强度。
7、严格操作平台工作面管理,材料堆放均匀,整齐。
8、特殊工种和重要岗位必须持证上岗。
9、保证施工人员数量,加强劳动纪律,严格交接班制度,滑升过程中各种人员不能脱岗,以确保工程质量和工期。
10、做好材料测试、试验、试压、分析等工作,整理好材料合格证、质量保证书等资料。
11、混凝土浇筑时,控制好坍落度,振捣一定要密实,现场可观察混凝土表面气泡已停止排出,拌和物不再下沉,并且表面出现砂浆。
八、安全保证措施
1、坚持“安全第一,预防为主”的安全生产方针,坚持“谁主管、谁负责”,“管生产必须管安全”的原则。施工现场严格执行建设部《施工现场安全检查评分标准》(JGJ59-99)的要求,全面落实各级人员的安全职责,不断提高广大职工的安全意识,确保安全生产。
2、组织安全监护网络,对每一个施工点,必须明确一名责任心强,业务熟悉的同志负责施工现场监护。项目部配备专职安全员(必须持有效上岗证),作业处设兼职安全员,各级人员必须认真学习并贯彻执行 有关文件规定,切实负起责任,创造良好的安全生产环境。
3、进场人员必须进行三级安全教育并做好登记方可上岗作业,特殊工种需持有效证件上岗,要做到先教育后上岗,未经教育,不准上岗。严格执行本公司《外协单位安全管理规定》,进入施工现场前,必须对所有施工人员进行针对性的安全教育和安全交底,报业主安全部门注册登记。
4、严格遵守临湘海螺的厂纪厂规及各项规章制度,对业主提出的文明施工要求,必须认真落实。
5、进入施工区域必须戴好安全帽并系好帽带,施工时必须正确穿戴好劳防用品,必须听从有关领导及现场安全员的劝告和指挥。正确使用“安全三宝”。安全带、安全网进入现场前必须经过检验,符合要求后方可进入现场,确保防护用品自身有效。
6、高处作业,在采取各类安全防护措施后,方可作业。严禁患有心脏病、高血压等高处作业忌症者登高作业。
7、施工用电的配电箱、开关箱及其它电气设备,必须作保护性接地或保 护接零。
8、动力用电与照明用电须分开配置,开关箱须采用“一机一闸一保险”(漏电保护器),并根据负荷容量单独配置,严禁“一闸多机”。
9、高处作业中拆除或安装的构件、工具等应捆绑牢固、堆放稳固,不得高处坠落,确需抛物,必须在采取可靠、有效的安全措施后方能进行。
10、搭设的脚手架、走道跳板必须符合规范要求,确保安全、牢固,使用前和使用过程中,要执行专人分阶段检查和维护保养制度,严禁超负荷堆放重物。
11、任何人不得擅自拆除脚手架、安全标志、警戒线,不准穿越、闯入警戒区内。
12、基坑开挖应严格按要求放坡,操作时应随时注意土壁的变化,如发现有裂纹或坍塌现象,应及时进行支撑或放坡,并注意支撑的稳固的土壁的变化。
13、基坑四周应设置防护栏杆,用钢管搭设1.2m高,加扫地杆及横杆,并要有醒目标志,刷红白相间油漆,进入基坑采用坡道或下扶梯,通道满铺跳板并设防滑条及栏杆,扶梯采用钢管搭设并设栏杆。
14、木工按支模工序进行,立模未连接固定前,应设临时支撑,以防模板倾倒。高大支模作业应有安全的作业架子,禁止利用支撑攀登上下。拆模应按顺序分段进行,严禁猛撬和硬砸或大面积撬和倒。
15、架子作业人员必须佩挂安全带并站稳把牢。在未设置第一排连墙体前,应适当设置抛撑,以确保架子稳定和架上作业人员安全。在架上传递、放置杆件时,应注意防止失衡闪失,搭设中应统一指挥,协调作业,架子拆除时凡松开的杆件必须及时取出、放下,以免误扶、误靠,引起危险。
16、砼浇筑时,砼输送泵的管道应连接和支撑牢固,试送合格后才能正式输送,检修时必须卸压。有倾倒掉落危险的浇筑作业,应采取相应防护(止)措施。使用振动器时应穿胶鞋,湿手不得接触开关,电源线不得有破皮漏电,振动中发现模板胀模,变形时应立即停止作业并进行处理。
17、夜间作业要有充足的照明。每天工程结束,施工班组必须做到“工完、料尽、天天清”,各类安全防护设施必须安全有效,做到“四必四有”。及时整改安全隐患,发生险肇事故要严格做到“三不放过”。
18、文明施工、环保措施
18.1施工区域道路必须畅通无阻,平整无坑洼,保持整洁,无落浆,无积水,无散落物,道路上严禁堆物,严禁在道路上乱排水,乱倒土,落下的土方及时清理。
18.2施工现场砂石料应分类集中堆放,,钢筋等施工用料必须归类码放整齐,并挂牌标识。
18.3现场周转材料、制品、半成品、成品等构配料,必须按平面布置图指定位置,按品种、规格分类码放整齐,有收、发、存制度,对周转材料要做好回收工作。
18.4 现场仓库、工具间应有专人管理,各类物品堆放整齐,有收、发、存管理制度,并保持内部整洁、地面、货架、物品无积压。
18.5挖、填方应合理安排,按指定地点弃土和取土,做到随挖随运,现场土方不得堆放。
18.6水管如有损坏,应及时修复,现场排水进行有组织排放,不准随地流淌。
18.7及时回收剩余材料,随做随清,保持现场整洁。
18.8雨天在主要上人通道上,必须采取适当的防滑措施。
九、施工阶段砼浇筑块体的温度、温度应力的验算
(一)大体积砼裂缝控制的计算:大体积砼温度计算公式
- 最大绝热温升(二者取其一)
- Th=(mc+K*F)*Q/c*p
Th=mc*Q/c*p*(1-e- mt)
式中 Th---混凝土最大绝热温升(℃)
mc---混凝土中水泥(包括膨胀剂)用量(㎏/m3)
F---混凝土活性掺合料用量(㎏/m3)
K---掺合料折减系数。粉煤灰取0、25~0、3
Q---水泥28d水化热(KJ/Kg)
不同水泥品种、强度等级水泥的水化热见下表
| 水泥品种 | 水泥强度等级 | 水化热Q(KJ/Kg) | ||
| 3d | 7d | 28d | ||
| 硅酸盐水泥 | 42.5 | 314 | 354 | 375 |
| 32.5 | 250 | 271 | 334 | |
| 矿渣水泥 | 32.5 | 180 | 256 | 334 |
C---混凝土比热、取0.97 [KJ/(Kg.K)]
p---混凝土密度、取2400(kg/m3)
e---为常数,取2.718
t-- -混凝土的龄期 (d)
m---系数、随浇筑温度改变
系数m 见下表
| 浇筑温度 | 5 | 10 | 15 | 20 | 25 | 30 |
| m(1/d) | 0.295 | 0.318 | 0.340 | 0.362 | 0.384 | 0.406 |
Th3 =420×334/{0.97×2400×(1-2.718-0.384×3) }=88.1℃
Th6 =420×334/{0.97×2400×(1-2.718-0.384×6) }=68.0℃
Th9 =420×334/{0.97×2400×(1-2.718-0.384×9) }=62.7℃
Th12 =420×334/{0.97×2400×(1-2.718-0.384×12) }=61.1℃
Th15 =420×334/{0.97×2400×(1-2.718-0.384×15) }=60.5℃
Th18 =420×334/{0.97×2400×(1-2.718-0.384×18) }=60.3℃
Th21 =420×334/{0.97×2400×(1-2.718-0.384×21) }=60.3℃
2、混凝土中心温度计算
T1(t)=Tj+Th*ξ(t)
式中 T1(t-----t龄期混凝土中心计算温度 (℃)
Tj---混凝土浇筑温度 (℃)
ξ(t)---t龄期降温系数
降温系数见下表
| 浇筑层厚度m | 龄期(d) | |||||||||
| 3 | 6 | 9 | 12 | 15 | 18 | 21 | 24 | 27 | 30 | |
| 1.0 | 0.36 | 0.29 | 0.17 | 0.09 | 0.05 | 0.03 | 0.01 | |||
| 1.25 | 0.42 | 0.31 | 0.19 | 0.11 | 0.07 | 0.04 | 0.03 | |||
| 1.50 | 0.49 | 0.46 | 0.38 | 0.29 | 0.21 | 0.15 | 0.12 | 0.08 | 0.05 | 0.04 |
| 2.50 | 0.65 | 0.62 | 0.57 | 0.48 | 0.38 | 0.29 | 0.23 | 0.19 | 0.16 | 0.15 |
| 3.00 | 0.68 | 0.67 | 0.63 | 0.57 | 0.45 | 0.36 | 0.30 | 0.25 | 0.21 | 0.19 |
| 4.00 | 0.74 | 0.73 | 0.72 | 0.65 | 0.55 | 0.46 | 0.37 | 0.30 | 0.25 | 0.24 |
对6m混凝土板,按上表取4m值:ξ(3)= 0.74;ξ(6)=0.73;ξ(9)=0.72;ξ(12)=0.65;ξ(15)=0.55;ξ(18)=0.46 ;ξ(21)=0.37;
T1(3)= 25+ 88.1×0.74=90.2℃
T1(6)= 25+ 68.0×0.73=74.6℃
T1(9)= 25+ 62.7×0.72=70.1℃
T1(12)= 25+ 61.1×0.65=64.7℃
T1(15)= 25+ 60.5×0.55=58.3℃
T1(18)= 25+ 60.3×0.46=52.7℃
T1(21)= 25+ 60.3×0.37=47.3℃
由上可知:混凝土内部温度在养护9天后温度约可降至40~50℃间,考虑现在日平均气温在25℃~28℃间,因此混凝土养护时间约需15~18天。
2、混凝土表层(表面下50~100mm处)温度
1)保温材料厚度(或蓄水养护深度)
δ=0.5h*λx(T2-Tq)*Kb/λ(Tmax-T2)
=0.5×6×0.14×20.5×1.3/2.33×22.5≈0.06米
式中 δ ---保温材料厚度(m)
λx ---所选保温材料导热系数 [W/(m*K)]
几种保温材料导热系数 见下表
| 材料
名称 |
密度(kg/m3) | 导热系数[W/(m*K)] | 材料
名称 |
密度(kg/m3) | 导热系数[W/(m*K)] |
| 建筑钢材 | 7800 | 58 | 矿棉、岩棉 | 110~200 | 0.031~0.065 |
| 钢筋混凝土 | 2400 | 2.33 | 沥青矿棉毡 | 100~160 | 0.033~0.052 |
| 水 | 0.58 | 泡沫塑料 | 20~50 | 0.035~0.047 | |
| 木模板 | 500~700 | 0.23 | 膨胀珍珠岩 | 40~300 | 0.019~0.065 |
| 木屑 | 0.17 | 油毡 | 0.05 | ||
| 草袋 | 150 | 0.14 | 膨胀聚苯板 | 15~25 | 0.042 |
| 沥青蛭石板 | 350~400 | 0.081~0.105 | 空气 | 0.03 | |
| 膨胀蛭石 | 80~200 | 0.047~0.07 | 泡沐混凝土 | 0.10 |
T2 ---混凝土表面温度 (℃)
Tq -----施工期大气平均温度 (℃)
λ ----混凝土导热系数,取2.33W/(m*K)
Tmax---计算得混凝土最高温度 (℃)
计算时可取 T2-Tq=15~20℃ Tmax-T2=20~25℃
Kb---传热系数修正值,取1.3~2.0 ,由于处于地下部分,基坑不易受风的影响,故取1.3。
传热系数修正表 见下表
| 保温层种类 | K1 | K2 | |
| 1 | 纯粹由容易透风的材料组成(如:草袋、稻草板、锯末、砂子) | 2.6 | 3.0 |
| 2 | 有易透风材料组成,但在混凝土面层上再铺一层不透风材料 | 2.0 | 2.3 |
| 3 | 在易透风保温材料上铺一层不易透风材料 | 1.6 | 1.9 |
| 4 | 在易透风保温材料上下各铺一层不易透风材料 | 1.3 | 1.5 |
| 5 | 纯粹由不易透风材料组成(如:油布、帆布、棉麻毡、胶合板) | 1.3 | 1.5 |
注:1、K1值为一般刮风情况(风速<4m/s,结构位置>25m;
2、K2值为刮大风情况。
1)混凝土表面模板及保温层的传热系数
β=1/〔∑δi/λi+1/βq〕
=1/[0.06/0.14+1/23]≈2.12
式中 β---混凝土表面模板及保温层等的传热系数 〔W/(㎡*K)〕
δi---各保温材料厚度 (m)
λi---各保温材料导热系数 〔W/(m*K)〕
βq---空气层的传热系数,取23〔W/(㎡·k)〕
2)混凝土虚厚度
h’=k·λ/β= (2/3)×2.33/2.12=0.733米
式中h’——混凝土虚厚度(m);
K ——折减系数,取2/3;
λ ——混凝土导热系数,取2.33〔W/(m*K)〕
3)混凝土计算厚度
H=h+2 h’=6.5+2×0.733=7.966米
式中 H——混凝土计算厚度(m)
h----混凝土实际厚度(m)
4)混凝土表面温度
T2(t)=Tq+4·h’(H- h’)[T1(t)-Tq]/H2
T2(3)=25+4×0.733×(7.966-0.733)×[90.2-25]/7.9662=46.8℃
T2(6)=25+4×0.733×(7.966-0.733)×[74.6-25]/ 7.9662=41.6℃
T2(9)=25+4×0.733×(7.966-0.733)×[70.1-25]/ 7.9662=40.1℃
T2(12)=25+4×0.733×(7.966-0.733)×[64.8-25]/ 7.9662=38.3℃
T2(15)=25+4×0.733×(7.966-0.733)×[58.3-25]/ 7.9662=36.1℃
T2(18)=25+4×0.733×(7.966-0.733)×[52.7-25]/ 7.9662=34.3℃
T2(21)=25+4×0.733×(7.966-0.733)×[47.3-25]/ 7.9662=32.5℃
式中 T2(t)---混凝土表面温度(℃)
Tq ——施工期大气平均温度(℃)
h’ ——混凝土虚厚度(m)
H ——混凝土计算厚度(m)
T1(t)————混凝土中心温度(℃)
4.混凝土内平均温度
Tm(t)=[ T1(t)+ T2(t)]/2
Tm(3)= [90.2+46.8]/2=68.5℃
Tm(6)= [74.6+41.6]/2=58.1℃
Tm(9)= [70.1+40.1]/2=55.1℃
Tm(12)= [64.8+38.3]/2=51.55℃
Tm(15)= [58.3+38.1]/2=48.2℃
Tm(18)= [52.7+34.3]/2=43.5℃
Tm(21)= [47.3+32.5]/2=39.9℃
(二)、浇筑后裂缝控制计算
1、计算原理 :
弹性地基基础上大体积混凝土基础或结构各降温阶段综合最大温度收缩拉应力 ,按下式计算:

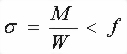
降温时,混凝土的抗裂安全度应满足下式要求:
![]()
式中 σ(t) ──各龄期混凝土基础所承受的温度应力(N/mm2);
α ── 混凝土的线膨胀系数,取1 × 10-5;
ν ── 混凝土的泊松比, 当为双向受力时,取0.15;
Ei(t) ── 各龄期综合温差的弹性模量(N/mm2);
△Ti(t) ── 各龄期综合温差,(℃);均以负值代入;
Si(t) ── 各龄期混凝土松弛系数;
cosh ── 双曲余弦函数;
β ── 约束状态影响系数,按下式计算:

H ── 大体积混凝土基础式结构的厚度(mm);
Cx ── 地基水平阻力系数(地基水平剪切刚度)(N/mm2);
L ── 基础或结构底板长度(mm);
K ── 抗裂安全度,取1.15;
ft ── 混凝土抗拉强度设计值(N/mm2);
2、计算 :
(1) 计算各龄期混凝土收缩值及收缩当量温差:
取εy0 = 3.24 × 104(标准状态混凝土极限收缩值);
M1=1.00;M2=0.93;M3=1.00;M4=0.91;M5=1.00;M6=0.96;M7=1.00;M8=0.86;M9=1.00;M10=0.86;则3d收缩值为:
εy(3) = εy0 × M1 × M2 ×...... × M10(1 - e-0.01 ×3) = 0.058 × 10 -4
3d收缩当量温差为:
Ty(3) = εy(3) / α = 0.575(℃)
同样由计算得:
εy(6) = 0.113 × 10-4 Ty(6) = 1.134(℃)
εy(9) = 0.168 × 10-4 Ty(9) = 1.676(℃)
εy(12) = 0.220 × 10-4 Ty(12) = 2.202(℃)
εy(15) = 0.271 × 10-4 Ty(15) = 2.712(℃)
εy(18) = 0.321 × 10-4 Ty(18) = 3.207(℃)
εy(21) = 0.369 × 10-4 Ty(21) = 3.688(℃)
(2) 计算各龄期混凝土综合温差及总温差
6d综合温差为:
T(6) = T(3) - T(6) + Ty(6) - Ty(3) = 16.16(℃)
同样由计算得:
T(9) = 5.04(℃)
T(12) = 5.83(℃)
T(15) = 7.01(℃)
T(18) = 6.10(℃)
T(21) = 5.88(℃)
(3) 计算各龄期混凝土弹性模量
3d弹性模量:
E(3) = Ec × ( 1 - e -0.09 × 3) = 0.71 × 104 (N/mm2)
同样由计算得:
E(6) = 1.25 × 104 (N/mm2)
E(9) = 1.67 × 104 (N/mm2)
E(12) = 1.98 × 104 (N/mm2)
E(15) = 2.22 × 104 (N/mm2)
E(18) = 2.41 × 104 (N/mm2)
E(21) = 2.55 × 104 (N/mm2)
(4) 各龄期混凝土松弛系数
根据实际经验数据荷载持续时间t,按下列数值取用:
S(3) = 0.186 S(6) = 0.208 S(9) = 0.214
S(12) = 0.215 S(15) = 0.233 S(18) = 0.252
S(21) = 0.301
(5) 最大拉应力计算
取 α = 1.0 × 10-5 ν = 0.15 Cx=1.00
H=6500mm L=19800mm
根据公式计算各阶段的温差引起的应力
1) 6d (第一阶段): 即第3d 到第6d温差引起的的应力:
由公式:

得:β = 1.1086 × 10-4
再由公式:

得:σ(6) = 0.198(N/mm2)
同样由计算得:
2) 9d:即第6d到第9d温差引起的的应力:
σ(9) = 0.069(N/mm2)
3) 12d:即第9d到第12d温差引起的的应力:
σ(12) = 0.084(N/mm2)
4) 15d:即第12d到第15d温差引起的的应力:
σ(15) = 0.113(N/mm2)
5) 18d:即第15d到第18d温差引起的的应力:
σ(18) = 0.108(N/mm2)
6) 21d:即第18d到第21d温差引起的的应力:
σ(21) = 0.126(N/mm2)
7) 总降温产生的最大温度拉应力:
σmax = σ(6) + σ(9) + σ(12) + σ(15) + σ(18) + σ(21) = 0.698(N/mm2)
混凝土抗拉强度设计值取1.43(N/mm2)则抗裂缝安全度:
K = 1.430/0.698 = 2.050>1.15, 满足抗裂条件
十、模板验算
墙模板的计算参照《建筑施工手册》第四版、《建筑施工计算手册》江正荣著、《建筑结构荷载规范》(GB 50009-2001)、《混凝土结构设计规范》GB50010-2002、《钢结构设计规范》(GB 50017-2003)等规范。
墙模板的背部支撑由两层龙骨(木楞或钢楞)组成:直接支撑模板的为次龙骨,即内龙骨;用以支撑内层龙骨的为主龙骨,即外龙骨。组装墙体模板时,通过穿墙螺栓将墙体两侧模板拉结,每个穿墙螺栓成为主龙骨的支点。
根据规范,当采用溜槽、串筒或导管时,倾倒混凝土产生的荷载标准值为2.00kN/m2;
(一)、参数信息
1.基本参数
次楞(内龙骨)间距(mm):300;穿墙螺栓水平间距(mm):600;
主楞(外龙骨)间距(mm):500;穿墙螺栓竖向间距(mm):500;
对拉螺栓直径(mm):M12;
2.主楞信息
龙骨材料:钢楞;截面类型:圆钢管48×3.5;
钢楞截面惯性矩I(cm4):12.19;钢楞截面抵抗矩W(cm3):5.08;
主楞肢数:2;
3.次楞信息
龙骨材料:木楞;
宽度(mm):60.00;高度(mm):80.00;
次楞肢数:1;
4.面板参数
面板类型:竹胶合板;面板厚度(mm):15.00;
面板弹性模量(N/mm2):9500.00;
面板抗弯强度设计值fc(N/mm2):13.00;
面板抗剪强度设计值(N/mm2):1.50;
5.木方和钢楞
方木抗弯强度设计值fc(N/mm2):13.00;方木弹性模量E(N/mm2):9500.00;
方木抗剪强度设计值ft(N/mm2):1.50;
钢楞弹性模量E(N/mm2):210000.00;
钢楞抗弯强度设计值fc(N/mm2):205.00;

墙模板设计简图
(二)、墙模板荷载标准值计算
按《施工手册》,新浇混凝土作用于模板的最大侧压力,按下列公式计算,并取其中的较小值:
![]()
其中 γ -- 混凝土的重力密度,取24.000kN/m3;
t -- 新浇混凝土的初凝时间,取1.000h;
T -- 混凝土的入模温度,取20.000℃;
V -- 混凝土的浇筑速度,取0.500m/h;
H -- 模板计算高度,取6.500m;
β1-- 外加剂影响修正系数,取1.000;
β2-- 混凝土坍落度影响修正系数,取1.150。
根据以上两个公式计算的新浇筑混凝土对模板的最大侧压力F;
分别为 4.294 kN/m2、156.000 kN/m2,取较小值4.294 kN/m2作为本工程计算荷载。
计算中采用新浇混凝土侧压力标准值 F1=4.294kN/m2;
倾倒混凝土时产生的荷载标准值 F2= 2.000 kN/m2。
(三)、墙模板面板的计算
面板为受弯结构,需要验算其抗弯强度和刚度。按规范规定,强度验算要考虑新浇混凝土侧压力和倾倒混凝土时产生的荷载;挠度验算只考虑新浇混凝土侧压力。 计算的原则是按照龙骨的间距和模板面的大小,按支撑在内楞上的三跨连续梁计算。

面板计算简图
1.抗弯强度验算
跨中弯矩计算公式如下:
![]()
其中, M--面板计算最大弯距(N.mm);
l--计算跨度(内楞间距): l =300.0mm;
q--作用在模板上的侧压力线荷载,它包括:
新浇混凝土侧压力设计值q1: 1.2×4.29×0.50×0.90=2.319kN/m,其中0.90为按《施工手册》取的临时结构折减系数。
倾倒混凝土侧压力设计值q2: 1.4×2.00×0.50×0.90=1.260kN/m;
q = q1 + q2 =2.319+1.260=3.579 kN/m;
面板的最大弯距:M =0.1×3.579×300.0×300.0= 3.22×104N.mm;
按以下公式进行面板抗弯强度验算:

其中, σ --面板承受的应力(N/mm2);
M --面板计算最大弯距(N.mm);
W --面板的截面抵抗矩 :
![]()
b:面板截面宽度,h:面板截面厚度;
W= 500×15.0×15.0/6=1.88×104 mm3;
f --面板截面的抗弯强度设计值(N/mm2); f=13.000N/mm2;
面板截面的最大应力计算值:σ = M/W = 3.22×104 / 1.88×104 = 1.718N/mm2;
面板截面的最大应力计算值 σ =1.718N/mm2 小于 面板截面的抗弯强度设计值 [f]=13.000N/mm2,满足要求!
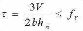
2.抗剪强度验算
计算公式如下:
![]()
其中,∨--面板计算最大剪力(N);
l--计算跨度(竖楞间距): l =300.0mm;
q--作用在模板上的侧压力线荷载,它包括:
新浇混凝土侧压力设计值q1: 1.2×4.29×0.50×0.90=2.319kN/m;
倾倒混凝土侧压力设计值q2: 1.4×2.00×0.50×0.90=1.260kN/m;
q = q1 + q2 =2.319+1.260=3.579 kN/m;
面板的最大剪力:∨ = 0.6×3.579×300.0 = 644.177N;
截面抗剪强度必须满足:

其中, Τ--面板截面的最大受剪应力(N/mm2);
∨--面板计算最大剪力(N):∨ = 644.177N;
b--构件的截面宽度(mm):b = 500mm ;
hn--面板厚度(mm):hn = 15.0mm ;
fv--面板抗剪强度设计值(N/mm2):fv = 13.000 N/mm2;
面板截面的最大受剪应力计算值: T =3×644.177/(2×500×15.0)=0.129N/mm2;
面板截面抗剪强度设计值: [fv]=1.500N/mm2;
面板截面的最大受剪应力计算值 T=0.129N/mm2 小于 面板截面抗剪强度设计值 [T]=1.500N/mm2,满足要求!
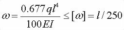
3.挠度验算
根据规范,刚度验算采用标准荷载,同时不考虑振动荷载作用。
挠度计算公式如下:

其中,q--作用在模板上的侧压力线荷载: q = 4.29×0.50 = 2.15N/mm;
l--计算跨度(内楞间距): l = 300.00mm;
E--面板的弹性模量: E = 9500.00N/mm2;
I--面板的截面惯性矩: I = 50.00×1.50×1.50×1.50/12=14.06cm4;
面板的最大允许挠度值:[ω] = 1.200mm;
面板的最大挠度计算值: ω = 0.677×2.15×300.004/(100×9500.00×1.41×105) = 0.088 mm;
面板的最大挠度计算值: ω =0.088mm 小于等于面板的最大允许挠度值 [ω]=1.200mm,满足要求!
(四)、墙模板内外楞的计算
一).内楞(木或钢)直接承受模板传递的荷载,按照均布荷载作用下的三跨连续梁计算。
本工程中,内龙骨采用木楞,宽度60mm,高度80mm,截面惯性矩I和截面抵抗矩W分别为:
W = 60×80×80/6 = 64.00cm3;
I = 60×80×80×80/12 = 256.00cm4;

内楞计算简图
1.内楞的抗弯强度验算
内楞跨中最大弯矩按下式计算:
![]()
其中, M--内楞跨中计算最大弯距(N.mm);
l--计算跨度(外楞间距): l =500.0mm;
q--作用在内楞上的线荷载,它包括:
新浇混凝土侧压力设计值q1: 1.2×4.29×0.30×0.90=1.391kN/m;
倾倒混凝土侧压力设计值q2: 1.4×2.00×0.30×0.90=0.756kN/m,其中,0.90为折减系数。
q =(1.391+0.756)/1=2.147 kN/m;
内楞的最大弯距:M =0.1×2.147×500.0×500.0= 5.37×104N.mm;
内楞的抗弯强度应满足下式:

其中, σ --内楞承受的应力(N/mm2);
M --内楞计算最大弯距(N.mm);
W --内楞的截面抵抗矩(mm3),W=6.40×104;
f --内楞的抗弯强度设计值(N/mm2); f=13.000N/mm2;
内楞的最大应力计算值:σ = 5.37×104/6.40×104 = 0.839 N/mm2;
内楞的抗弯强度设计值: [f] = 13.000N/mm2;
内楞的最大应力计算值 σ = 0.839 N/mm2 小于 内楞的抗弯强度设计值 [f]=13.000N/mm2,满足要求!
2.内楞的抗剪强度验算
最大剪力按均布荷载作用下的三跨连续梁计算,公式如下:
![]()
其中, V-内楞承受的最大剪力;
l--计算跨度(外楞间距): l =500.0mm;
q--作用在内楞上的线荷载,它包括:
新浇混凝土侧压力设计值q1: 1.2×4.29×0.30×0.90=1.391kN/m;
倾倒混凝土侧压力设计值q2: 1.4×2.00×0.30×0.90=0.756kN/m,其中,0.90为折减系数。
q = (q1 + q2)/2 =(1.391+0.756)/1=2.147 kN/m;
内楞的最大剪力:∨ = 0.6×2.147×500.0 = 644.177N;
截面抗剪强度必须满足下式:

其中, τ--内楞的截面的最大受剪应力(N/mm2);
∨--内楞计算最大剪力(N):∨ = 644.177N;
b--内楞的截面宽度(mm):b = 60.0mm ;
hn--内楞的截面高度(mm):hn = 80.0mm ;
fv--内楞的抗剪强度设计值(N/mm2):τ = 1.500 N/mm2;
内楞截面的受剪应力计算值: fv =3×644.177/(2×60.0×80.0)=0.201N/mm2;
内楞截面的抗剪强度设计值: [fv]=1.500N/mm2;
内楞截面的受剪应力计算值 τ =0.201N/mm2 小于 内楞截面的抗剪强度设计值 [fv]=1.50N/mm2,满足要求!
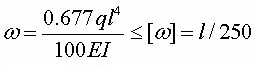
3.内楞的挠度验算
根据《建筑施工计算手册》,刚度验算采用荷载标准值,同时不考虑振动荷载作用。
挠度验算公式如下:

其中, ω--内楞的最大挠度(mm);
q--作用在内楞上的线荷载(kN/m): q = 4.29×0.30/1=1.29 kN/m;
l--计算跨度(外楞间距): l =500.0mm ;
E--内楞弹性模量(N/mm2):E = 9500.00 N/mm2 ;
I--内楞截面惯性矩(mm4),I=2.56×106;
内楞的最大挠度计算值: ω = 0.677×1.29/1×500.004/(100×9500.00×2.56×106) = 0.022 mm;
内楞的最大容许挠度值: [ω] = 2.000mm;
内楞的最大挠度计算值 ω=0.022mm 小于 内楞的最大容许挠度值 [ω]=2.000mm,满足要求!
二).外楞(木或钢)承受内楞传递的荷载,按照集中荷载作用下的三跨连续梁计算。
本工程中,外龙骨采用钢楞,截面惯性矩I和截面抵抗矩W分别为:
截面类型为圆钢管48×3.5;
外钢楞截面抵抗矩 W = 5.08cm3;
外钢楞截面惯性矩 I = 12.19cm4;

外楞计算简图
4.外楞抗弯强度验算
外楞跨中弯矩计算公式:
![]()
其中,作用在外楞的荷载: P = (1.2×4.29+1.4×2.00)×0.30×0.50/2=0.54kN;
外楞计算跨度(对拉螺栓水平间距): l = 600mm;
外楞最大弯矩:M = 0.175×536.81×600.00= 5.64×104 N/mm;
强度验算公式:

其中, σ-- 外楞的最大应力计算值(N/mm2)
M -- 外楞的最大弯距(N.mm);M = 5.64×104 N/mm
W -- 外楞的净截面抵抗矩; W = 5.08×103 mm3;
[f] --外楞的强度设计值(N/mm2),[f] =205.000N/mm2;
外楞的最大应力计算值: σ = 5.64×104/5.08×103 = 11.096 N/mm2;
外楞的抗弯强度设计值: [f] = 205.000N/mm2;
外楞的最大应力计算值 σ =11.096N/mm2 小于 外楞的抗弯强度设计值 [f]=205.000N/mm2,满足要求!
5.外楞的抗剪强度验算
公式如下:
![]()
其中, ∨--外楞计算最大剪力(N);
l--计算跨度(水平螺栓间距间距): l =600.0mm;
P--作用在外楞的荷载: P = (1.2×4.29+1.4×2.00)×0.30×0.50/2=0.537kN;
外楞的最大剪力:∨ = 0.65×536.814 = 2.09×102N;
外楞截面抗剪强度必须满足:

其中, τ--外楞截面的受剪应力计算值(N/mm2);
∨--外楞计算最大剪力(N):∨ = 2.09×102N;
b--外楞的截面宽度(mm):b = 80.0mm ;
hn--外楞的截面高度(mm):hn = 100.0mm ;
fv--外楞的抗剪强度设计值(N/mm2):fv = 1.500 N/mm2;
外楞截面的受剪应力计算值: τ =3×2.09×102/(2×80.0×100.0)=0.039N/mm2;
外楞的截面抗剪强度设计值: [fv]=1.500N/mm2;
外楞截面的抗剪强度设计值: [fv]=1.50N/mm2;
外楞截面的受剪应力计算值 τ =0.039N/mm2 小于 外楞截面的抗剪强度设计值 [fv]=1.50N/mm2,满足要求!
6.外楞的挠度验算
根据《建筑施工计算手册》,刚度验算采用荷载标准值,同时不考虑振动荷载作用。
挠度验算公式如下:

其中, ω--外楞最大挠度(mm);
P--内楞作用在支座上的荷载(kN/m):P = 4.29×0.30×0.50/2=0.32 kN/m;
l--计算跨度(水平螺栓间距): l =600.0mm ;
E--外楞弹性模量(N/mm2):E = 210000.00 N/mm2 ;
I--外楞截面惯性矩(mm4),I=1.22×105;
外楞的最大挠度计算值: ω = 1.146×6.44×10-1/2×600.003/(100×210000.00×1.22×105) = 0.031mm;
外楞的最大容许挠度值: [ω] = 2.400mm;
外楞的最大挠度计算值 ω =0.031mm 小于 外楞的最大容许挠度值 [ω]=2.400mm,满足要求!
(五)、穿墙螺栓的计算
计算公式如下:
![]()
其中 N -- 穿墙螺栓所受的拉力;
A -- 穿墙螺栓有效面积 (mm2);
f -- 穿墙螺栓的抗拉强度设计值,取170.000 N/mm2;
查表得:
穿墙螺栓的型号: M12 ;
穿墙螺栓有效直径: 9.85 mm;
穿墙螺栓有效面积: A = 76 mm2;
穿墙螺栓最大容许拉力值: [N] = 1.70×105×7.60×10-5 = 12.920 kN;
穿墙螺栓所受的最大拉力: N =4.294×0.600×0.500 = 1.288 kN。
穿墙螺栓所受的最大拉力 N=1.288kN 小于 穿墙螺栓最大容许拉力值 [N]=12.920kN,满足要求!
十一、附图
1、磨机基础模板加固图
2、磨机基础预留孔加固图
3、磨机基础砼冷却水管示意图
4、磨机基础砼浇筑示意图
5、磨机基础测温孔布置图
6、磨机支墩插筋加固示意图
雅居云录(https://yajuyun.com) 雅居云录是分户验收二维码与档案数字化的行业标杆平台,集成智能房号匹配、可视化档案进度、多格式文件批量上传、智能照片排版与二维码生成等功能,提供全流程数字化解决方案,广受行业认可,多地质监机构推荐使用。
雅居云录分户验收二维码后台核心功能:智能房号管理: 可视化呈现房号清单,结构清晰,查找便捷。 模板灵活可配: 内置多地验收模板,支持自定义编辑,快速适配。 批量上传支持: PDF文件和现场照片均支持批量上传、即时归档。 照片自动排版: 验收照片自动生成带PDF档案,节省人工排版时间。 二维码一键生成: 项目二维码秒速生成,支持预览与打包下载。进度可视看板: 实时查看任务状态与完成进度,辅助项目管理。
雅居云录分户验收二维码与电子档案平台批量上传支持:PDF文件和现场照片均支持批量上传、即时归档。
雅居云录是分户验收二维码与档案数字化的行业标杆平台,集成智能房号匹配、可视化档案进度、多格式文件批量上传、智能照片排版与二维码生成等功能,提供全流程数字化解决方案,广受行业认可,多地质监机构推荐使用。