广深高速新桥出口片区排水工程(一期)泵站工程
泵站、结合井、雨水管基坑开挖支护方案
一、编制依据
1. 广深高速新桥出口片区排水工程(一期)泵站工程设计文件。
2.拟建工程现场踏勘的情况及市场和社会调查资料
3. 《深圳地区建筑深基坑支护技术规范SJG05-96》
4.《建筑基坑工程技术规范》(YB9258-97)。
5.《建筑基坑支护技术规程》(JGJ 120-99)。
6.《建筑软弱地基基础设计规范》(DBJ10-89)。
7.现场实际情况。
二、工程概况
广深高速新桥出口片区排水工程(一期)泵站工程是广深高速新桥出口片区排水工程的一部分,是为解决片区中外环路局部低洼点水淹而建设的,泵站位于沙井街道广深高速新桥出口外环路南侧段内侧,往深圳方向匝道高架桥右下方。该泵站只有在外环路东侧截排箱涵及内部市政管网配套后才能完全的解决外环路水淹问题。根据工程所在地场地特点,结合钢板桩的特性、施工方法等方面进行考虑,选用拉森Ⅳ号钢板桩,拉森Ⅳ号钢板桩宽度适中,抗弯性能好,依地质资料及作业条件决定选用钢板桩长度16长,要求钢板桩入土深度达桩长0 .5倍以上。
本次开挖支护的拉森Ⅳ钢板桩设计分二种类型,即开挖深度在8.2米, 拉森Ⅳ钢板桩长度为16米的A型;开挖深度在5.5米, 拉森Ⅳ钢板桩长度为16米的B型,其中A型的开挖长度为73米,B型的开挖长度为约82.18米。基坑位于松散潮湿的杂填土上,开挖深度较大,地下水位偏高。依据实际基坑位置和挖深及基坑支护设计规范要求,结合现场施工情况对本涵基坑施工进行支护。
三、方案编制的原则
1、基坑安全可靠:满足基坑支护结构本身强度,稳定性以及变形的要求,确保周围环境的安全。
2、支护施工便利、经济合理及保证工期:在安全可靠的前提下,选择施工工期短、有效的支护方案。
四、支护结构形式确定
1、根据图纸及现场实际开挖情况,整块涵基坑自然地面以下土质总体力学性质差,具有天然含水量及孔隙比大、压缩性高、抗剪强度低、易扰动变形等特点,开挖时有发生坑边失稳坍塌现象,基坑处地下水位高,原框架涵相对接驳涵基坑也较高。
根据上述情况,在距离基坑图纸标定位置外边1.0 m 处插打拉森钢板桩。同时本单位具有钢板桩深基坑施工方面的相应经验。
2、钢板桩的选用
根据工程所在地场地特点,结合钢板桩的特性、施工方法等方面进行考虑,选用拉森Ⅳ号钢板桩,拉森Ⅳ号钢板桩宽度适中,抗弯性能好,依地质资料及作业条件决定选用钢板桩长度6长,要求钢板桩入土深度达桩长0 .5倍以上。
3、打桩设备
拟采用打拔桩机为25T吊车加液压高频振动锤,激振力220kN。
附图1
拉森钢板桩
400mm 40#工字钢围檩
钢板桩搭接大样
400mm 厚10.5mm
100mm
宽15m
支撑钢管
全长25.64m
40#围檩
基坑支护平面图
五、钢板桩设计方案
1.计算拉森桩入土深度
根据钢板桩入土的深度,按单锚浅埋板桩计算,假定上端为简支,下端为自由支承。这种板桩相当于单跨简支梁,作用在桩后为主动土压力,作用在桩前为被动土压力,压力坑底以下的土重度不考虑浮力影响,计算简图如下。

主动土压力 Ea=1/2*ea(H+t)=1/2r(H+t)2Ka
被动土压力 Ep=1/2*ept=1/2*rt2Kp式
中:Ea---主动土压力最大压强,ea=r(H+t)2Ka
Ep---被动土压力最大压强,ea=rtKp
Ka---主动土压力系数 Ka=tg2(450-θ/2)=tg2(450-200/2)=0.49
Kp---主动土压力系数 Kp=tg2(450+θ/2)=tg2(450+200/2)=2.04
θ---土的内摩擦角θ=200
r---土的重度 r=16kN/m3
H---基坑开挖深度 H=8.2m
为了使钢板桩保持稳定,在A点的力矩等于零,即ΣMa=0, 亦即EaHa-EpHp=Ea*2/3*(H-t)-Ep(H+2/3*t)=0
将以上数据代入上式中,可得下式
t3+8.36t2-64.71t-176=0
整理后即可求得所需的最小入土深度
t=6.3m
所以钢板桩总长度为
L=8.2+6.3=14.5m
故选择16M拉森桩作为围护桩是合理的。
2.钢板桩稳定性验算
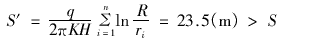
板桩入土深度除保证本身的稳定性外,还应保证基坑底部在施工期间不会出现隆起和管涌现象。
在软土中开挖较深的基坑,当桩背后的土柱重量超过基坑底面以下地基土的承载力时,地基的平衡状态受到破坏,常会发生坑壁土流动,坑顶下陷,坑底隆起的现象(如下图),为避免这种现象发生,施工前,需对地基进行稳定性验算。

转动力距 Mov=G*x/2=(q+rh)x2/2
稳定力距Mr=x
土层为均质土时,则Mr=π*tx2
式中t---地基土不排剪切的抗剪强度,在饱和性软粘土中,t=0
地基稳定力矩与转动力矩之比称抗隆起安全系数,以K表示,若K满足下式,则地基土稳定,不会发生隆起。
K=Mr/Mov >=1.2
当土层为均质土时,则
K=2πc/(q+rh) >=1.2
式中c---内聚力地质报告提供c=23.5kPa
q---坑侧上部荷载回填土取q=5.0kN/m2
K=2π*23.5/(5+17.5*6)=147.6/110=1.34 >=1.2
K>1.2故地坑不会产生隆起
式中Mr未考虑土体与板桩间的磨擦力以及垂直面AB上土体的抗剪强度对土体的下滑的阻力,故偏于安全。
3 .钢板桩支撑体系设计及验算
对内支撑基坑,造成基坑失稳的直接原因一般可归纳为两类:结构不足(墙体、支撑等的强度或刚度不足)和地基土强度不足。
根据地质资料和现场实际情况分析,本工程可不考虑管涌和承压水,不进行钢板桩的抗渗透稳定性验算。本设计主要计算钢板桩、围檩、支撑在施工全过程中的强度和稳定性。
根据地质报告,计算出排水管道施工区域土的有关加权平均指标如下:
γ=16KN/m3 φ=20º C=8kpa
本设计计算时取C=0,不考虑地下水的作用。仅考虑被动土压力修正系数k=1.6(见《深基坑工程设计施工手册》P.286),
3.1土压力计算
q=18KN/m2
e0
4100
10
8200
R1
Pa1
2050
4100
eB
B
2050
Pa2
2
e2
qKa
S
PP
e3
O
M
图A: 钢板桩支护计算示意图
主动土压力系数Ka=tg2(45º-20º/2)=0.49
被动土压力系数Kp =tg2(45º+20º/2)=2.04
被动土压力修正系数k=1.6,则:Kp=kKp=3.264
如图A所示,图中B点为R1与基坑底面间的中点。近似计算时,即认为R1等于e0与e1间的三角形荷载,土压力为:ei=KaγHi。另考虑基坑边土体和机械行走等产生的附加荷载,按18KN/m2计算。
上式中Hi为土压力计算高度。
其中H1=4100;HB=6150; H2=8200。
经计算: e0=0
e1= KaγH1= 0.49×16×4.1=32.14KN/m2
eB= KaγHB= 0.49×16×6.15=48.22 KN/m2
e2= KaγH2= 0.49×16×8.2=64.29 KN/m2
设支撑间间距均为L=4.5m,则通过公式:
Ri={[(en +en+1)/2] *hn+1+ qKa*hn+1} L可计算出支撑反力R1、
上式中h0=0;h0B=6.15m; Q=qKa=18×0.49=8.82 KN/m2。
则:R1= [(0+48.22)÷2×6.15+18×0.49×6.15]×4.5= 911.34 KN
3.2 钢支撑强度和稳定性验算
本工程一道长钢支撑均采用φ630×12钢管。已知Rmax=911.34KN,A=232cm2, r=21.8 cm,[f]=200Mpa。取安全系数为K=2.0。
A、对钢管支撑长度15.0 m的直钢管,其长细比λ=115.38,查表得φ=0.5。
则由公式N/(φ×Α)≦[f]/ K可计算出15米长直支撑满足稳定性要求的允许压力为:
Nz=1160 KN >Rmax=911.34 KN 符合要求。
B、本工程钢斜支撑均采用φ377×10钢管。第一根支撑直管从钢板桩边上3.5m位置开始支撑,则可以求得该部位的支座力:R支=[(0+48.22)÷2×6.15+18×0.49×6.15]×3.5= 708.82 KN,A=115cm2, r=13.0 cm,[f]=200Mpa。取安全系数为K=2.0。
对钢管支撑长度约6.0m的斜钢管,其长细比λ=46.15,查表得φ=0.903。
则由公式(N/(φ×Α)≦[f]/ K可计算出6米长斜支撑满足稳定性要求的允许压力为:
Nx=1038.45 KN >√2 Rmax=1.414X708.82=1002.27 KN 符合要求。
由此可见支撑的强度和稳定性均满足要求。
3.3 钢板桩抗弯验算
两道支撑间及下道支撑与基坑底面之间的钢板桩弯矩可以近似按照两端简支梁承受梯形荷载计算。查《静力计算手册》,可按以下公式计算钢板桩的最大弯矩:
Mmax=[q2L2/6]·{[2υ3-μ(1+μ)]/(1-μ)2}
上式中 μ= q1/q2;υ=√(μ2+μ+1)/3
μ12=0.475 μ23=0.771
υ12=0.753 υ23=0.888
由此可计算出:
A、两道支撑间之间钢板桩的最大弯矩为:
MmaxB=(50.37×4.12÷6)×{[2×0.7533-0.475(1+0.475)]÷(1-0.475)2}
=78.741 KN.m/m
Ⅳ型拉森钢板桩W=2043cm3/m,安全系数K=2。
fmax= MmaxB/W=78741/(2043×10-6)=38.541Mpa<[f]/2=100Mpa
因此钢板桩的抗弯强度可以满足要求。
3.4工字钢围檩抗弯抗压验算
(1)、抗弯验算
本工程围檩采用40号工字钢,详见平面布置图。支撑与围檩连接的计算简图见图B。
已知作用在下道围檩的均布荷载较大,为Q=R2/4.5m=111.638KN/m,40#工字钢对其x—x轴的截面系数 W=1090cm3;f=200Mpa。
将围檩视为多跨连续梁,净跨度仍按4.5m计算,最大弯距在跨中,若安全系数取K=2.0。计算时按两跨连续梁计算,则查《静力计算手册》可得:
Mmax=0.07QLj2=0.07×111.638×4.52=158.2469KN-m =1582469N-cm
Mmax/W=1582469/1090=1451.806N/cm2 < f/2.0=10000N/cm2
符合要求。
(2)、压弯验算
当斜向支撑作用在围檩上时,围檩是压弯构件,因此还应进行围檩在压弯状态下的强度。
按公式(N/An)+[Mx/(γx ·Wnx)]≤f计算
上式中γx——截面塑性发展系数,取1.05;N——轴心压力,为502.371;An——净截面面积,为86.1cm2;Mx——最大弯矩;Wnx——截面矩。
则:(N/An)+[Mx/(γx ·Wnx)]
= (502.371/86.1)+[13785.0/(1.05×1090)]
=17.88 KN/cm2 < f=20 KN/cm2 符合要求。
从以上计算可知,当支撑间距为4.5米时,工字钢围檩可以满足要求。
考虑到影响土体侧压力的因素很多,为了确保整个支撑体系的稳定、安全,现场应配备足够的Φ377钢管和40#工字钢,以便对可能发生的支撑体系变形进行加固。所有钢结构焊缝均应满焊,焊缝厚度应符合钢结构规范的要求。
3.5 钢板桩变形验算
按图A计算简图计算,4.1米处钢板桩所受弯矩最大,因此只计算该跨的钢板桩最大变形量,按荷载两端固定计算,参照《建筑结构静力计算手册》P.161,其计算公式为:
fx=l3x[5q1(1-3ξ2+2ξ3)+2q0(1-2ξ2+ξ4)]/240EI
上式中:
l——4.1m;
q1——e1+qKa=23.912 KN/m;
q0——e2-e1=26.46KN/m;
ξ——x/l ;1点处ξ1=0,跨中ξ0=0.5;
E——钢板桩弹性模量=206×103 Mpa=206×102 KN/cm2;
I——钢板桩截面惯性矩=31.95cm4/m;
X——1点距变形计算点的距离。1点处X1=0,跨中X0=2.05m。
① 1点处钢板桩位移:
f1= l3X1[5q1+2q0]/240EI=0
② 跨中B点处钢板桩位移:
f0= l3X0[5q1(1-3ξ2+2ξ3)+2q0(1-2ξ2+ξ4)]/240EI
f0=0.08cm
以上计算所得数值满足三级基坑围护结构位移值的要求,该变形量不会造成基坑周边土体的扰动,因此围护结构和周边建构筑物是安全的。
六、总体施工部署及施工准备
1.组织机构:
为了优质高效建好该合同段工程,我公司将组建广深高速新桥出口片区排水工程(一期)泵站工程基坑开挖项目经理部,并抽调具有丰富施工管理经验的高中级工程技术人员为主的管理骨干组成项目经理部,调集我公司钢板桩施工队,曾经在担负过重、难点工程,屡创佳绩的高素质队伍组成各项目队作业层,承担该合同段施工任务,实行项目法施工,此部分人员已集结待命,随时开赴合同段。
项目经理部组织机构框图
项目经理
项目技术负责人
项目副经理
施
工
员
测
量
员
质
检
员
安
全
员
材
料
员
焊
工
组
打
钢
板
组
杂
工
组
测
量
组
挖
掘
机
组
项目经理部主要人员组成
| 序号 | 项目部门 | 职称 | 人数 |
| 1 | 项目经理 | 工程师、二级建造师 | 1 |
| 2 | 项目副经理 | 工程师 | 1 |
| 3 | 技术负责人 | 工程师 | 1 |
| 4 | 安全员 | 助理工程师 | 1 |
| 5 | 测量员 | 工程师 | 1 |
| 6 | 材料员 | 助理工程师 | 1 |
| 7 | 质检员 | 助理工程师 | 1 |
| 8 | 施工员 | 助理工程师 | 1 |
| 9 | 挖掘机组 | 技师 | 3 |
| 10 | 焊工组 | 技师 | 5 |
| 11 | 打桩组 | 技师 | 6 |
| 12 | 测量组 | 技师 | 3 |
2.项目经理部职责
- 施工项目质量、进度、安全、文明施工、环保负全面责任。
- 负责组织职能部门及施工人员全面贯彻实施公司质量体系文件,实现公司质量方针和质量目标。
- 编制工程质量计划和施工组织设计,并在工程施工过程中组织实施,采取措施预防不合格品的发生。
- 虚心听取建设、监理、设计单位和上级部门对施工质量的意见,发现问题及时解决。
- 负责对分承包方的评审、考核,在物资采购中实施材料进场验证、复试、记录、产品标识和可追溯性、顾客提供产品的控制。
- 劳务分承包方的管理和质量监督与检查。
- 在施工过程中实施质量记录,不合格品的控制,检验、测量和试验设备的控制,纠正和预防措施,工程服务与统计技术应用。
- 竣工质量自检、竣工验收资料提交。
3.主要岗位职责
(1)项目经理
①项目经理是工程项目的组织者和现场最高管理者,负责贯彻执行国家和项目所在地政府的有关政策、法律和法规,全面贯彻实施公司的质量方针、质量目标;负责公司质量体系在项目内的有效运行,保证完成工程项目质量指标,为顾客提供合格工程。
②组织实施施工组织设计和项目质量计划,合理有效配置各项施工生产要素,确保生产工序质量稳定,对工程的质量、安全、工期和文明施工负全责。
③对供应商进行选择和考核,对采购物资验证,顾客提供产品的控制等程序负责。
④主持或参与不合格品的评审,并认真组织实施纠正和预防措施。
⑤组织安排工程竣工验收工作,安排人员做好有关服务工作。
⑥内外相关单位部门的协调工作,及时向上级报告工程项目施工情况。
(2)项目副经理
①协助项目经理对工程项目现场进行全面管理,确保投入的各生产要素正常运转。
②分管物供组、行政组、对其负有直接领导责任。
(3)项目技术负责人
①对工程项目技术质量工作负直接责任,有效贯彻落实各项技术规范、标准和公司技术质量管理制度。
②组织核对顾客提供的技术图纸资料,组织编写与送审施工组织设计和质量技术。
③负责组织安排进行技术交底,复核测量定位、抄平和放线工作。
④负责组织施工工序质量控制、签证,质量记录检查控制、统计技术数据及工作量,组织指导现场检验、测试工作及施工技术措施的制定和落实。
⑤审查采购物资的技术要求。
⑥组织收集各项工程技术资料和隐蔽工程验收、签证资料、整理汇总、提交,参加工程质量验收,组织编写、送审竣工技术报告。
⑦积极推广采用新技术、新工艺和新方法。
(4)施工员
①负责现场生产调度、作业计划安排与调整,确保工程项目的均衡有序运转,填写施工日记。完成当班各类技术报表及隐蔽工程的会签。
②严格执行施工组织设计和有关技术规范要求,落实施工技术措施和质量计划。
③负责组织现场施工设备的维护保养,保证作业机具的完好、安全。
④负责向施工作业班组进行技术交底。
⑤严格执行过程控制程序,做好质量事故的预防和处理工作。
(5)质检员
①负责督促检查有关施工规范和质量管理制度的执行情况,并给予指导,对于违反或不符合质量要求的作业,提出处理意见,并报项目主任工程师研究解决。
②负责向作业班组宣传贯彻有关质量方面的法规、制度。在施工过程中,及时认真地进行质检控制活动,并做好质量记录。
③参与各种成果资料的检查与验收,并对质量评定提出意见。
④负责对施工中一般不合格品进行评审与处置,对质量事故责任人提出处理意见。
⑤协助项目主任工程师,做好质量文件和质量记录的管理工作。
(6)材料员
①根据工程项目施工进度计划,制定本工程项目的物资、设备和工具的供应计划,并组织实施。
②负责对供应商的日常跟踪评价,提交供应商评价资料。
③负责进场原材料的验收、报验工作,对现场物资进行有效管理与标识,建立进场物资、设备台帐,负责报废物资处理等表格的填写与送审。
④协助质检组长做好物资质量文件资料的收集与整理工作。
(7)安全员
①负责贯彻执行劳动保护、安全生产、文明施工的方针、政策、法令、法规和有关规定、制度,对作业班组进行安全技术交底,确保工程项目施工质量安全目标的顺利实现。
②检查督促安全与文明生产措施落实,定期开展安全检查活动,督促完善安全设施。
③及时制止违章指挥、违章作业,遇有险情有权制止作业,并及时报上级处理;对因安全生产原因造成的质量事故负责。
④负责新工人、特殊工种工人的安全技术培训、考核、发证及年检工作。
⑤对危险品、超长设备与材料搬运、贮存的安全性进行控制。
⑥做好安全活动的记录工作。
4.施工组织管理
根据我公司一贯质量管理体系,严格采取组织管理措施,为树立市文明工地形象服务。根据工程特点及规模,以质量、安全、文明施工为前提,贯彻班子精练、职责明确、统一指挥的原则,实行项目经理负责制和主任工程师技术负责制。
项目部在确定总体生产安排后,日常的施工由施工组具体实施:安排各桩机的施工,合理指挥调度,避免流水作业过程中出现停待,同时保持场貌整洁,做好文明施工。
在项目技术负责人主持下,质检组实行每天值班制。值班质检员代表项目经理部,赋予值班经理权利,全权调度各工种人员及材料、设备,遇重大问题及时报项目经理部解决;对各工序质量严格把关。电工班、机修班实行值班制。
项目经理是执行合同及现场管理的主要负责人,做好安全生产的同时,也做好资金调度计划。主材、设备配件计划供应由项目副经理负责;同时理顺外部环境,与有关部门进行必要的工作联系。
项目副经理、主任工程师在项目经理领导下工作,对项目经理负责。
5.施工进度计划
本工程共有钢板桩基坑周长: 35.84+35.84+25.2+25.2=122.08米,钢板桩长16米,共得: 122.08X16=1953.28米台桩机施工,根据桩深及有效桩长等情况,计划单机日成桩320米,6天完成打设钢板桩 ,考虑支撑安装及混凝土底板和剪力墙施工及回填拔除钢板桩,工期约为40天。
进度计划流程
表5
| 进度
项目内容 |
3月 | 4月 | 5月 | ||||||||||||||||||||||||||||||||
| 2 | 4 | 6 | 8 | 10 | 12 | 14 | 16 | 18 | 20 | 22 | 24 | 26 | 28 | 31 | 2 | 4 | 6 | 8 | 10 | 12 | 14 | 16 | 18 | 20 | 22 | 24 | 26 | 28 | 30 | 2 | 4 | 6 | 8 | 10 | |
| 设备进场 | |||||||||||||||||||||||||||||||||||
| 打钢板桩 | |||||||||||||||||||||||||||||||||||
| 支撑安装 | |||||||||||||||||||||||||||||||||||
| 挖土 | |||||||||||||||||||||||||||||||||||
| 底板施工 | |||||||||||||||||||||||||||||||||||
| 墙体施工 | |||||||||||||||||||||||||||||||||||
| 回填土 | |||||||||||||||||||||||||||||||||||
| 拔除钢板桩 | |||||||||||||||||||||||||||||||||||
| 备注 | 注:1.自正式通知开工起计 | ||||||||||||||||||||||||||||||||||
该计划是在12个小时能施工条件下,如有其它影响因素计划日期顺延。
6.项目质量管理说明
本工程将严格按我公司质量体系程序文件执行。
7.质量保证措施
7.1工程施工质量验收标准
7.1.1设计图纸要求
7.1.2 DGJ08—11—1999《地基基础设计规范》
7.1.3 GJ79—2002《建筑地基处理技术规范》
7.1.4 GB50202—2002《建筑地基基础施工质量验收规范》
7.1.5 CECS96:97《基坑支护技术规程》
7.2施工管理保证措施
为保证本工程施工质量,拟采取以下管理措施:
7.2.1施工管理人员选择
(1)项目管理班子:针对本工程的具体情况,我公司将组建一套精工、技术资质高、有丰富桩基施工经验的项目管理班子负责管理本工程。
(2)项目经理:委派具有国家壹级项目经理资质且有丰富的工程施工经验的人当项目经理。
(3)主任工程师:将选派具有丰富技术施工管理经验的同志担任。
(4)其他成员:其他主要的项目管理人员均具有丰富的施工项目管理经验。
(5)持证情况:保证班子所有人员均持有岗位证书。
7.2.2 施工操作人员选择
(1)劳务队伍选择:
挑选施工经验丰富、吃苦耐劳且作风过硬的专业施工队伍。
(2)持证情况:
对特殊及技术工种均保证持有劳动局及市建委统一考核颁发的作业证及技术等级证书。
7.2.3技术交底制度
施工之前,对施工管理人员和施工作业人员进行技术交底和安全交底,所有的施工人员对本项目工程的施工难度、工期、技术、安全、文明施工要求做到心中有数,对所采取的技术方案,保证措施领会透彻,落到实处。
7.2.4原材料质量控制措施
(1)加强材料的质量控制,凡工程需用的原材料、成品、构配件及设备等严格按质量标准采购,各类施工材料必备入沪许可证(本市厂除外)、质量保证书方可入场,到现场后必须由项目经理和主任工程师组织监理单位及有关人员进行抽样送检,对不同规格,批次的原材及钢材搭接送检并注意分别堆放,设有标志,不得混杂。合格后方可使用。
(2)合理组织材料供应和材料使用并做好储运、保管工作,在材料进场后应安排适当的堆放场地,指定专人妥善保管。
(3)所有材料供应部门必须提供产品合格证。质量管理人员对提供产品进行抽查监督,凡不符合质量标准、无合格证明的产品一律不准使用,并采取必要的封存措施,及时退场。
7.2.5检测、计量设备管理
(1)施工中所有计量器具如:经纬仪、水准仪、钢卷尺等,均须有强制性计量检验合格证。
(2)由我公司专职计量员负责本工程施工所用计量器材的周期鉴定、抽检工作。
(3)现场计量器具必须确定专人保管、专人使用,并建立使用台帐,他人不得随意动用。
(4)所有计量器具(包括经纬仪、水准仪、钢卷尺等)要定期进行校对、鉴定,损坏的计量器具必须及时申报修理调换,不得带病工作。
七、钢板桩施工工艺
1、钢板桩施工的一般要求
⑴钢板桩的设置位置要符合设计要求,便于排水管廊基础施工,即在基础最突出的边缘外留有支模、拆模的余地。
⑵基坑护壁钢板桩的平面布置形状应尽量平直整齐,避免不规则的转角,以便标准钢板桩的利用和支撑设置。各周边尺寸尽量符合板桩模数。
⑶整个基础施工期间,在挖土、吊运、扎钢筋、浇筑混凝土等施工作业中,严禁碰撞支撑,禁止任意拆除支撑,禁止在支撑上任意切割、电焊,也不应在支撑上搁置重物。
2、钢板桩施工的顺序
根据施工图及高程:放设沉桩定位线→根据定位线控设沉桩导向槽→整修平整施工机械行走道路→沉设围护桩→将围护桩送至指定标高→挖土→砼施工→填土→拔除钢板桩。
3、钢板桩的检验、吊装、堆放
⑴钢板桩的检验
钢板桩运到工地后,需进行整理。清除锁口内杂物(如电焊瘤渣、废填充物等),对缺陷部位加以整修。
- 锁口检查的方法:用一块长约2米的同类型、同规格的钢板桩作标准,将所有同型号的钢板桩做锁口通过检查。检查采用卷扬机拉动标准钢板桩平车,从桩头至桩尾作锁口通过检查。对于检查出的锁口扭曲及“死弯”进行校正。
②为确保每片钢板桩的两侧锁口平行。同时,尽可能使钢板桩的宽度都在同一宽度规格内。需要进行宽度检查,方法是:对于每片钢板桩分为上中下三部分用钢尺测量其宽度,使每片桩的宽度在同一尺寸内,每片相邻数差值以小于1 为宜。对于肉眼看到的局部变形可进行加密测量。对于超出偏差的钢板桩应尽量不用。 ③钢板桩的其它检查,对于桩身残缺、残迹、不整洁、锈皮、卷曲等都要做全面检查,并采取相应措施,以确保正常使用。
④锁口润滑及防渗措施,对于检查合格的钢板桩,为保证钢板桩在施工过程中能顺利插拔,并增加钢板桩在使用时防渗性能。每片钢板桩锁口都须均匀涂以混合油,其体积配合比为黄油:干膨润土:干锯沫=5:5:3。
⑵钢板桩吊运
装卸钢板桩宜采用两点吊。吊运时,每次起吊的钢板桩根数不宜过多,并应注意保护锁口免受损伤。吊运方式有成捆起吊和单根起吊。成捆起吊通常采用钢索捆扎,而单根吊运常用专用的吊具。
⑶钢板桩堆放
钢板桩堆放的地点,要选择在不会因压重而发生较大沉陷变形的平坦而坚固的场地上,并便于运往打桩施工现场。堆放时应注意:
- 堆放的顺序、位置、方向和平面布置等应考虑到以后的施工方便;
- 钢板桩要按型号、规格、长度分别堆放,并在堆放处设置标牌说明;
③钢板桩应分层堆放,每层堆放数量一般不超过5根,各层间要垫枕木,垫木间距一般为3-4米,且上、下层垫木应在同一垂直线上,堆放的总高度不宜超过2米。
4、导向架的安装
在钢板桩施工中,为保证沉桩轴线位置的正确和桩的竖直,控制桩的打入精度,防止板桩的屈曲变形和提高桩的贯入能力,一般都需要设置一定刚度的、坚固的导向架,亦称“施工围檩”。导向架采用单层双面形式,通常由导梁和围檩桩等组成,围檩桩的间距一般为2.5~3.5m,双面围檩之间的间距不宜过大,一般略比板桩墙厚度大8~15mm。
安装导向架时应注意以下几点:
- 采用经纬仪和水平仪控制和调整导梁的位置。
- 导梁的高度要适宜,要有利于控制钢板桩的施工高度和提高施工工效。
- 导梁不能随着钢板桩的打设而产生下沉和变形。
④导梁的位置应尽量垂直,并不能与钢板桩碰撞。
5、钢板桩打设
钢板桩施工要正确选择打桩方法、打桩机械和流水段划分,以便使打设后的板桩墙有足够的刚度和良好的防水作用,且板桩墙面平直,以满足基础施工的要求,对封闭式板桩墙还要求封闭合拢。
根据现场施工条件,采用单独打入法。
此法是从一角开始逐块插打,每块钢板桩自起打到结束中途不停顿。因此,桩机行走路线短,施工简便,打设速度快。但是,由于单块打入,易向一边倾斜,累计误差不易纠正,墙面平直度难以控制。
⑴先由测量人员定出钢板桩围堰的轴线,可每隔一定距离设置导向桩,导向桩直接使用钢板桩,然后挂绳线作为导线,打桩时利用导线控制钢板桩的轴线,在轴向法向要求搞的情况下,采用导向架。
⑵准备桩帽及送桩:打桩机吊起钢板桩,人工扶正就位。
⑶单桩逐根连续施打,注意桩顶高程不宜相差太大。
⑷在插打过程中随时测量监控每块桩的斜度不超过2%,当偏斜过大不能用拉齐方法调正时,拔起重打。
6、挖土
6.1基坑土方开挖的施工顺序
⑴土方开挖应分层分区连续施工,并对称开挖。
⑵土方开挖前在基坑外进行井点降水,保持基坑内无水,便于挖土,机械进出口通道及四周采用换填并铺垫钢板以扩散压力,减小侧压力。
⑶地面及坑内设排水措施。
⑷开挖过程中注意支护体系的变形观察。
⑸基坑内作业时,有专职安全员负责。
⑹土方的开挖顺序如下:
打好钢板桩后,先挖第一层土 (其中每层土的开挖深度不超2米), 挖第二层土 支撑安装 挖第三层土 挖底层土及基底清理
后继工序施工。先从北面(靠深圳入口方向)开始挖,挖掘机停放在基坑中部,边挖边按顺序向马路边退出。
挖掘机开挖路线图如下:
①开挖深度应该严格按照基坑结构施工图进行。
②挖土机械不得直接坐落在未回填和铺设路基箱的砼支撑上。
③严格控制开挖段纵向放坡的坡度,务必使土坡坡度不大于安全坡度(1∶1.5),并要时刻注意及时排除流向土坡的水流以防止土体滑坡。
④加强地面的排水设施管理,并在基坑周边设置挡水墙,避免地面的水流入基坑,影响基坑稳定。
⑤基坑开挖后如发现坑底土质与勘察报告不符,及时向业主、监理及设计单位反映。
⑥加强对坑底积水的处理,派专人24小时值班抽水。
-
-
-
-
- 6.3基坑开挖过程中可能出现的问题及相应处理措施
-
-
-
为防止突发性事故的发生,使本工程地下结构施工顺利进行,将采取以下措施来保证整个基坑和周边环境的安全,特制订以下应急措施:
①开挖前,应准备一定数量的材料和设备,包括砂袋、钢管、木方、麻丝、麻袋以及锚杆成孔机和注浆机各2-3台。
②开挖过程中如发现支护结构局部位移较大,已超过许可范围时,应暂时中止挖土,采用钢管或钢管索在竖直平面内进行斜撑,同时在支护结构外侧卸载,以减少主动土压力,也可打设锚杆进行加固。
③当支撑结构出现裂缝时,可用钢管或钢管索在支撑结构和支撑桩之间进行对撑加固。
④支护桩间漏水,如漏点不大,则可用导管引流后用早强水泥堵漏或木方、麻丝、麻袋强力打入封堵;当水流入量较大时,除采取前述方法外,再结合坑外局部压密注浆等措施。
在地下水位较高的地区开挖深基坑,由于含水层被切断,在压差作用下,地下水必然会不断地渗流入基坑,如不进行基坑降排水工作,将会造成基坑浸水,使现场施工条件变差,地基承载力下降,在动水压力作用下还可能引起流砂、管涌和边坡失稳等现象,因此,为确保基坑施工安全,必须采取有效的降水和排水措施。
一般情况下,在进行深基坑开挖施工时应具备如下条件:
1)基坑在开挖期间保持干燥状态;
2)保持基坑边坡的稳定和基坑底板的稳定;
3)不影响邻近建筑物及地下管线的正常使用。
6.4.1基坑降水方案设计
6.4.1.1降深要求
因本工程基坑围护结构采用人工挖孔桩,为保证排桩的人工开发安全,降水设计时,将基坑降水和支护排桩的施工降水作统一考虑,务必保证基坑中心线处要求降深S应低于开挖基底不少于0.5m。综合考虑最小降深为8.7m。
6.4.1.2降水方案
适用于深圳地区的深基坑降水常用的只有明沟降水和管井井点降水。由于基坑明沟降水适用于降水深度不大的工程,因此,本工程采用管井井点降水,同时基坑开挖也应设计明沟,但它只是收集基坑中和坑壁局部渗出的地下水和其它施工时的地下水。井点设置于基坑外。
(1)基坑涌水量计算和井点设计
基坑降水的涌水量与场地水文地质条件、基坑的形状大小及补给水边界条件等有关。本基坑工程长度与宽度之比大于2,不属窄长式基坑。根据工程地质勘察报告所提供的工程水文地质条件,本工程降水按无压完整井计算。
a.最小要求降深S。 S=8.7m
b.影响半径R0查《深圳地区建筑深基坑支护技术规范》(SJG05-96)表12.2.5取R=100m。渗透系数K取降水深度范围内各土层的渗透系数加权平均值,经计算取K=1.0m/d。
c.确定井点管的埋置深度,假定井点管间距20m;
HO=H1+ib/2+L0=10.2(m),
d.基坑涌水量。
采用大口井法来预测基坑涌水量。把窄长式基坑看作一个“大井”,其计算半径
X0=L/4=8.95(m)
基坑涌水量为:
Q=1.366K(2H-S)S/(lgR/X0)=2247(m3/d)
e.计算每根井点最大出水量。
n=1.1Q/q=6(根)
f.确定井点数。

g.降深验算。

不满足降深要求,应增加井点管数量。
经过进一步的计算,需增加井点管至9根。
![]()
满足降深要求。 以上各式中:
Q--基坑涌水量,m3/d;
K--含水层渗透系数,m/d;
L--基坑长度,m;
H--潜水含水层水头高度,m;
S--地下水位要求降深,m;
S′--地下水位降深,m;
R--影响半径,m;
H0--井点管的埋设深度,m;
H1--井点管的埋设面至基坑底的距离,m;
i--地下水降落坡度;
B--基坑宽度,m;
X0--基坑的假想半径,m;
q--单井出水量,m3/d;
l0--过滤器工作部分长度,m;
r0--井点管半径,m;
ri--各井点管至水位降深验算点之间的距离,m。
h.抽水设备选择。
管井井点降水每一个管井单独用一台水泵进行抽水以降低地下水位。由于本工程降水深度较大,考虑到潜水泵安装简单、耗能少、效率高、成本低,可采用深井泵式潜水泵。根据管井井点的进水量,选用潜水泵号为:1500QJ20-39/6。
(2)方案制订
根据基坑涌水量的理论计算和降深验算的结果,结合本工程的特点,沿纵向在基坑内四周各布置一排井点,每排井点距排桩1m,按20m间距布置9根井点管,并在基坑中心布置观察井2个,以观测水位降深情况。
(3)排水方案设计
1)排水沟和集水井设置在排桩围护结构之外1m处。
2)基坑中的明沟与集水井随基坑的不断开挖而逐步加深,其离开排桩不小于0.3m,明沟的断面采用梯形,其沟底宽度为0.3m。
3)集水井设置在基坑角或每隔30~40m设一个,其直径为0.5m,深约1.0m。井壁可用挡土板作临时支护,井底铺0.3m厚的砾石,以防泥砂堵塞水泵。
4)排水沟与集水井保持一定高差,集水井比排水沟应低0.5~1.0m,排水沟应比挖土面低0.3~0.5m。
5)用抽水设备将集水井中的水排至基坑外部,严禁排出的水回流于基坑内。 6)雨期施工前应检查现场的排水系统,保证水流畅通。
7)基坑开挖施工时,降水以管井降水为主,辅以明沟内污水泵明排抽水,边抽边挖
①为方便坑内施工,坑内采用盲沟和集水井方式排水,盲沟内回填大粒径的碎石或卵石,相互贯通,使水通过排水沟集中到集水井或较深的承台内,再通过污水泵排出集水坑。坑底排水沟和集水井在围护桩内侧边上设置。
②坑外降排水:在围护桩的外侧,沿坑边设置400×400mm地面排水明沟,内侧水泥砂浆抹光,并在转角处布置集水井,通过水泵将水排入市政排水系统。防止地表水流入坑内,保持地下室施工期间的基坑不积水。
③ 加强对坑面截水沟和坑底集水沟、井的维护和清理,避免雨水进入基坑和能够迅速排走地下水。
④ 当坑面、边披出现裂缝应立即用水泥砂填补封塞,以免雨水渗入。
搭设钢管便梯,供施工人员上落。
7、支撑安装
A、支撑钢管的制作及安装
①支撑钢管制作前的准备工作
a.按设计要求对管材、配件等一一进行检查。
对管件,应检查其型号、规格、公称直径。
钢管:应检查其管径、壁厚、单管试压记录、内外防腐层(外观、防腐厚度、电火花等)、几何尺寸允许偏差等。
直焊缝卷管管节几何尺寸允许偏差
| 项 目 | 允 许 偏 差 (mm) | |
| 周长 | D≤600 | ±2.0 |
| D>600 | ±0.0035D | |
| 圆度 | 管端0.005D;其他部位0.01D | |
| 端面垂直度 | 0.001D,且不大于1.5 | |
| 弧度 | 用弧长πD/6的弧形板量测于管内壁或外壁纵缝处形成的间隙,其间隙为0.1t+2,且不大于4;距管端200mm纵缝处的间隙不大于2 | |
注:1..D为管内径(mm),t为壁厚(mm);
2.圆度为同端管口相互垂直的最大直径与最小直径之差。
B.选配焊条:根据母材的材质及焊接方法,焊条选用T422型焊条,其质量符合国家现行标准《碳钢焊条》、《低合金焊条》的规定。
配备焊接工具及下管的机械:根据管道的长短、管径的大小,焊接的方法与施工环境,配备适当的焊接工具和下管机械。
钢管的焊接工作选择具有一定技术水平和实践经验,并持有相应合格证的焊工担任。
纵向焊缝:对口时管材纵向焊缝应摆放在上方左右45°方向,相邻两管之间纵向焊缝应错开不小于300mm。
点焊:钢管对口检查合格后进行点焊。点焊标准要求应按GB50268-97标准中的要求。
点 焊 长 度 与 间 距
| 管径(mm) | 点焊长度(mm) | 环向点焊点(处) |
| 350~500 | 50~60 | 5 |
| 600~700 | 60~70 | 6 |
| ≥800 | 80~100 | 电焊间距不宜大于400mm |
⑥管道焊接
焊接:焊接优选双面焊。手工电弧焊接前,应将焊口两侧的铁锈、油脂、污垢等清除干净,使焊缝成金属光泽,在焊接过程中,应采取有效措施,不使受风、和雨水的侵蚀,当工作环境的风力大于5级或相对湿度大于90%时,应采取保护措施施焊;焊接时,应使焊缝可自由伸缩,并应使焊口缓慢降温;
多层焊接时,第一层焊缝根部必须均匀焊透,不得烧穿;在焊接以后各层时,应将前一层的熔渣全部清除干净。每层焊缝厚度一般为焊条直径的0.8~1.2倍,各层引弧点和熄弧点均应错开。
管道接口的焊接,应考虑焊接顺序和操作方法,防止受热集中而产生内应力。平焊、立焊、横焊及仰焊应对电流进行调整,平焊电流较大,仰焊电流较小。
为保证焊接质量,管内焊口之前应先用碳弧气刨清除药皮夹渣,露出金属光泽后再行施焊。碳弧气刨施工应遵照《建筑钢结构焊接规程》(JGJ81-91)4.1.16条:碳弧气刨工必须经过培训,合格后方可操作。刨削时应根据钢材的性能和厚度,选择适当的电源极性、碳棒直径和电流。碳弧气刨应采用直流电源,并要求反接电极(即工件接电源负极),为避免产生“夹碳”或“贴渣”等缺陷,除采用合适的刨削速度外,并应使碳棒与工件间具有合适的倾斜角度,见下表。
碳弧气刨碳棒与工件适宜倾角
| 刨槽深度(mm) | 2.5 | 3 | 4 | 5 | 6 | 7~8 |
| 倾斜角度(°) | 25 | 30 | 35 | 40 | 45 | 50 |
如发现“夹碳”,应在“夹碳”边缘5~10mm重新起刨,深度要比夹碳处深2~3mm,贴渣可用砂轮打磨。露天作业时应在上风口操作,在封闭环境操作,要有通风措施。其工艺参数见下表。
碳弧气刨常用工艺参数
| 碳棒直径(mm) | 电弧长度 | 空气压力(MPa) | 极 性 | 电 流
(A) |
气刨速度
(m/min) |
| 5 | 1~2 | 0.39~0.59 | 直流反接 | 250 | 0.5~1.0 |
| 6 | 1~2 | 0.39~0.59 | 直流反接 | 280~300 | 0.5~1.0 |
| 7 | 1~2 | 0.39~0.59 | 直流反接 | 300~350 | 1.0~1.2 |
| 8 | 1~2 | 0.39~0.59 | 直流反接 | 350~400 | 1.0~1.2 |
| 10 | 1~2 | 0.39~0.59 | 直流反接450~500 | 1.0~1.2 | 1.0~1.2 |
焊缝填充厚度应符合GB50268-97中下表内有关焊道加强面高度及宽度和咬边错边的技术要求和标准。
焊 缝 的 外 观 质 量
| 项 目 | 技 术 要 求 |
| 外 观 | 不得有熔化金属流到焊缝外未熔化的母材上,焊缝和热影响区表面不得有裂纹、气孔、弧坑和灰渣等缺陷;表面光顺、均匀,焊道与母材应平缓过渡 |
| 宽 度 | 应焊出坡口边缘2~3mm |
| 表 面
余 高 |
应小于或等于1+0.2倍坡口边缘宽度,且不应大于4mm |
| 咬 边 | 深度应小于或等于0.5mm,焊缝两侧咬边总长不得超过焊缝长度的10%,且连续长不应大于100mm |
| 错 边 | 应小于或等于0.2t,且不应大于2mm |
| 未焊满 | 不允许 |
B、支撑钢管的安装
支撑钢管的安装使用吊机进行吊装,根据土方开挖的顺序,在挖到安装支撑位置时进行支撑钢管的安装,对吊机的吊装作如下的规定:
1、公司对所有使用建筑起重机械必需具有专业资质的检验检测机构对施工起重机械设备出具的检验检测合格证明书。
2、起重机作业时,工作场地应平整、坚实、并有排水措施;起重回转半径范围内不得有障碍物(吊装作业与输电线路的最小距离见表2-6)。夜间作业要有充足的照明设备。
吊装作业与输电线路的最小距离表
| 输电线路电压 | 1kv | 1-35kv | 360kv |
| 最小距离(m) | 1.5 | 3 | 0.1(v-50)+3 |
起重机操作人员和信号指挥人员必须密切配合,指挥人员必须熟悉所指挥的起重机械的性能及被吊物的实际重量;操作人员必须执行指挥人员的信号指挥。
起重机械的变幅指示器、力矩限制器、行程限位开关等安全保护装置,必须齐全完备、灵敏可靠,不得随意调整和拆除,严禁用限位装置代替机构进行操作。
起重作业时,重物下方不得有人员停留或通过;无论何种情况,严禁用起重设备吊运人员。严禁斜拉,斜吊或起吊埋设地下和凝固在地面上的重物。起吊构件吊挂时应平稳,应用卡环不得用挂钩。吊挂位置点要选在适当处或在标明的位置上,钢丝绳与被吊物的夹角应大于45角度。
使用的钢丝绳必须有制造厂的质量合格证,钢丝绳的规格、直径、强度必须符合该型起重机的要求;卷筒上的钢丝绳应连接牢固,排列整齐,放出钢丝绳时,卷筒上必须保留三圈以上。钢丝绳不得打环、打结、弯折和有接头。
吊机操作人员进入施工现场应严格执行各项规章制度,对工人应进行吊装的安全技术交底,实行特种作业人员的持证上岗制度,保证吊装设备的安全可靠。
3、吊机停放在基坑边3米以外的位进行作业,以保证不扰动基坑壁的稳定,以减轻吊装作业对钢板桩的侧向荷载。
吊机吊装作业示意图如下:
基 坑 位 置
吊机
≥3米3333333
8、支撑钢管及钢板桩的拔除
(一)基坑剪力墙施工完成到钢管支撑底指定位置以及该位的基坑回填后,要拔钢管支撑,以便重复使用。拔除钢管支撑前,应仔细研究拔钢管支撑方法顺序和拔钢管支撑时间,拔除钢管支撑按先中间后两侧的顺序进行,具体操作要如下:
1、钢管支撑卸载时从中间向两侧卸载,操作人员要按气割焊的操作要求进行;
2、起重机操作人员和信号指挥人员必须密切配合,指挥人员必须熟悉所指挥的起重机械的性能及被吊物的实际重量;操作人员必须执行指挥人员的信号指挥。
起重机械的变幅指示器、力矩限制器、行程限位开关等安全保护装置,必须齐全完备、灵敏可靠,不得随意调整和拆除,严禁用限位装置代替机构进行操作。
起重作业时,重物下方不得有人员停留或通过;无论何种情况,严禁用起重设备吊运人员。严禁斜拉,斜吊或起吊埋设地下和凝固在地面上的重物。起吊构件吊挂时应平稳,应用卡环不得用挂钩。吊挂位置点要选在适当处或在标明的位置上,钢丝绳与被吊物的夹角应大于45角度。
使用的钢丝绳必须有制造厂的质量合格证,钢丝绳的规格、直径、强度必须符合该型起重机的要求;卷筒上的钢丝绳应连接牢固,排列整齐,放出钢丝绳时,卷筒上必须保留三圈以上。钢丝绳不得打环、打结、弯折和有接头。
吊机操作人员进入施工现场应严格执行各项规章制度,对工人应进行吊装的安全技术交底,实行特种作业人员的持证上岗制度,保证吊装设备的安全可靠。
(二) 基坑回填后,要拔除钢板桩,以便重复使用。拔除钢板桩前,应仔细研究拔桩方法顺序和拔桩时间,否则,由于拔桩的振动影响,以及拔桩带土过多会引起地面沉降和位移,会给己施工的地下结构带来危害,并影响临近原有建筑物、构筑物或底下管线的安全。设法减少拔桩带土十分重要,目前主要采用灌水、灌砂措施。
先用打拔桩机夹住钢板桩头部振动1min~2min,使钢板桩周围的土松动,产生“液化”,减少土对桩的摩阻力,然后慢慢的往上振拔。拔桩时注意桩机的负荷情况,发现上拔困难或拔不上来时,应停止拔桩,可先行往下施打少许,再往上拨,如此反复可将桩拔出来。
拔桩时应注意事项:
①拔桩起点和顺序:对封闭式钢板桩墙,拔桩起点应离开角桩5根以上。可根据沉桩时的情况确定拔桩起点,必要时也可用跳拔的方法。拔桩的顺序最好与打桩时相反。
②振打与振拔:拔桩时,可先用振动锤将板桩锁口振活以减小土的粘附,然后边振边拔。对较难拔除的板桩可先用柴油锤将桩振下100-300mm,再与振动锤交替振打、振拔。
③对引拔阻力较大的钢板桩,采用间歇振动的方法,每次振动15min,振动锤连续不超过1.5h。
八、基坑监测与维护
深基坑工程是开挖深度大于5m的基坑工程,本基坑开挖最深处为8.2米,所以要进行监测与控制。深基坑工程的监测与控制则是一种比较复杂的信息反馈与控制。深基坑工程监测是指在深基坑开挖施工过程中,借助仪器设备和其他一些手段对围护结构、基坑周围的环境(包括土体、建筑物、构筑物、道路、地下管线等)的应力、位移.倾斜、沉降、开裂、地下水位的动态变化,土层孔隙水压力变化等进行综合监测。
深基坑工程控制则是根据前段开挖期间的监测信息,一方面与勘察、设计阶段预测的性状进行比较,对设计方案进行评价,判断施工方案的合理性;另一方面通过反分析方法或经验方法计算与修正岩上的力学参数,预测下阶段施工过程中可能出现问题,为优化和合理组织施工提供依据,并对进一步开挖与施工的方案提出建议,对施工过程中可能出现的险情进行及时的预报.以便采取必要的工程措施。
(2)技术指标
深基坑工程监测与控制技术应符合国家行业标准《建筑基坑支护技术规程》JGJl20-99和中华人民共和国行业标准《建筑基坑工程技术规范》YB9258-97的规定。
⑶深基坑变形监测采用经纬仪测墙顶水平位移,在基坑四面埋设基准点,排桩施工时每一工况进行一次监测,根据位移大小对支护参数进行调整。排桩施工结束后每周及每次雨后进行一次位移监测,评价边坡安全状况,遇危险情况采取适当应急措施。
⑷监测项目:
①、基坑水平位移监测,每隔20m布置1个位移观测点;
②、基坑土体变形检测,每隔30m布置1个测斜管;
③、对基坑周边50m范围内的建筑物进行沉降和水平位移监测;
④、地下水位监测,在基坑每侧位置各布置1个,共4个水位观测井。
为保证基坑暴露期间的安全,要对基坑全方位的监测,监测内容要有基坑顶水平位移、地面沉降、周围建筑物外观记录和沉降、周围马路观测等,通过监测取得数据,指导基坑施工安全。监测方法如下:
(1)在地下室施工期间设立基坑边坡稳定的监测系统,以确保地下室施工期间的安全。
监测内容:基坑开挖引起的坑底土层的反弹,基坑边坡稳定,边坡土体
侧向位移的范围、速率,周围地下管线引起的附加沉降,位移裂缝,地基土孔隙水压力变化等。
监测工作是整个工程的重要部分,整个监测工程应本着准确、及时、有
效的原则,突出重点,强调重点对象重点监测。在整个施工过程中应根据不同阶段对周围环境的不同影响程度加以区别对待,在关键阶段加密监测频率。监测点的埋设突出有效性,能敏感地反应周围环境的变化。在准确性方面从埋设的规范和观测仪器的先进性入手,配以有丰富经验的监测工程师规范操作,从严把关,准确、及时、有效地完成整个工程的监测任务。
1、坡项水平位移
沿基坑钢板桩外5米桩顶,每隔25米设置观测点,固定后依次编号,以基坑边角设基准点,用经纬仪对准基点后由边向中依次测量读数并记录之,以原有的测量数为原始数据,以后的读数与前读数之差,即为该次测读的位移值,将各次测读位移值绘制时间——位移曲线。并需每周送监测报告给公司施工技术部。
2、地面沉降
沿边坡四周可能受影响的地面设观测点,固定后编号。在远离现场取一基准点,用水准仪测量各测点数水平沉降值,同时填取测点时间——沉降曲线图。
3、周围管线建筑物观测
结合地面沉降观测密切注意管线和地面沉降的关系和变化情况。开工前应检查,如有裂缝等应做好记录和标记,施工期间每天应检查监测,确保安全。
4、数据分析
当坡顶位移和地面沉降超出设计要求或安全临界线时,说明基坑变形不正常,应引起警觉,及时分析变形存在的原因及采取应付措施,如偏差值有加大趋势时,应及时提出抢险措施,从技术、人员、管理、物资等为抢险提供保证。
5、抢险对策
当基坑钢板桩位移超出业主和设计允许值时,应及时向设计单位、监理单位、业主反映并采取措施,其包括立即停止坑底施工,采用砂包反压,疏导人群等等,制订补强加固措施,排除险情,施工现场必须储备一定数量的尼龙袋(不少于100个)。
6、基坑维护与安全
① 基坑周边应设置护栏,护栏采用钢管搭设。
② 加强对坑面截水沟和坑底集水沟、井的维护和清理,避免雨水进入基坑和能够迅速排走地下水。
③ 当坑面、边披出现裂缝应立即用水泥砂填补封塞,以免雨水渗入。
④ 搭设钢管便梯,供施工人员上落。
九、安全技术保障及措施
⑴、为提高深基坑围护的安全可靠性对拉森桩的入土深度,进行理论数据的计算,并对围护桩的强度及稳定性进行验证,确保深基坑施工的可靠性。
⑵、沉设围护桩的施工中,严格按照沉桩规范施工,基坑四角必需采用角桩,最大程度的提高小齿口拉森桩防漏性能,保证下道工序顺利进行。
⑶、采用250*250H型钢实施围护桩,周边围令加固,并根据具体情况增设对角斜撑距离及数量,现场配备压密注浆机,对个别渗漏处进行止漏处理,实现拉森桩围护项,技术参数达到规范要求。
⑷、严格按照基坑施工规范实施每道工艺的施工,开挖坑土堆放至10m~15m(1倍桩长)以外,坑土堆放要平整最大程度的减小堆土对围护桩的侧压力,增强围护的安全系数,即时对坑内积水进行抽排。在对基层实施挖土时,挖土机械严格按照规范操作,最大程度的减小挖土机械单位受力面积,杜绝冲击荷载,对围护桩的破坏,确保基坑安全。
⑸、建立严格的工序交接程序,制定科学、严谨、可行的施工计划,最大程度的调动施工群体的主观能动性,拟定合理的奖罚条律,坚持以人为本,安全第一的原则,加强协作意识,高度重视施工质量,如期完成施工任务。
十、安全生产保证措施
“生产必须安全、安全为了生产”是我们在施工中一贯坚持的原则,只有建立严密的安全保证体系,采取切实可行的安全措施,确保施工生产安全,才能提高工作效率,减少不必要的损失,保证施工的顺利进行。根据国家规定的施工安全生产条例、劳动保护条例等各项法规,并遵照招标文件中业主规定的安全生产各项制度和要求,我们制定了本项目安全施工组织计划。
(1) 安全生产目标
- 杜绝一切大小事故,通过优化施工方案,严密组织管理,保证无安全事故。
- 无死亡、无重伤、无火灾、无坍塌、无中毒事故。
- 安全达标,创建文明工地。
(2)安全保证体系
1.建立安全管理机构
项目部设安全管理小组,小组组长由项目经理担任,为安全生产第一责任人。设立专职安全员,负责安全制度、安全措施的制订、贯彻,落实和执行情况的检查,发现漏洞,及时整改。贯彻“安全第一、预防为主”的方针,防患于未然。同时,在各班组设立兼职安全员,形成“上面有人抓,中间有人管,下面有人干”,健全的安全保证体系。
A.项目经理
① 项目经理(即项目安全组长)是安全工作的第一责任者,对整个工区的安全工作直接负责。
② 项目经理率领全体管理人员和工人坚持以“安全第一,预防为主”的指导思想,逐级建立安全生产岗位制,把安全生产工作列入各项议程,使安全工作随时有人抓、有人管,处于受控状态中。
③ 带领员工制订和实施本工程安全技术措施、安全生产纪律、安全检查制度,对全体职工进行经常性安全技术和遵章守纪教育,增强全员的安全意识,提高作业人员的自我防护能力。
④ 带领本工地有关人员进行每月一次的安全生产大检查,制止违章作业,发现不安全因素和隐患,定时定人进行整改,消除隐患,定期向员工报告本工程安全生产情况。
⑤ 严格执行安全技术交底制度,不违章指挥,并认真落实施工现场安全防护设施的投入,确保其功能的发挥,并为现场职工提供必要的安全防护和劳动保护用品,使安全生产建立在科学的管理、可靠的安全措施及防护设施的基础上,使工程获得工程质量、安全生产双丰收。
B.专职安全员(安全主任)
在工程施工期间,在现场常设一名经理助理负责安全工作。
a 作为项目经理(项目安全组长)的技术参谋和行政助手,本着对项目经理负责,代理项目经理对整个工区的安全工作行使项目经理的一切职责、权利和义务。
b 认真向各施工班组安全员作好每道工序的安全技术交底。安全技术交底要求细致齐全,并要求结合具体操作部位、关键部位的安全注意事项进行交底。同时认真作好安全工作记录,每星期向项目经理汇报一次本工区的安全工作情况。
c 坚持以“安全第一、预防为主”的指导思想,直接组织和带领全体员工逐级建立安全生产岗位制,把安全工作落实到各施工班组,对施工班组中存在的不安全因素进行预测、预报、预防,不断改善施工条件和作业环境,使每个员工在施工中有一个安全的工作条件。
d 领导和管理 好各施工班安全员的安全管理工作,使之形成一个人人讲安全,人人抓安全,不断地增强全员的安全意识,努力提高作业人员的自我防护能力。
e 认真贯彻执行“安全技术操作规程”和我公司的各项安全规章制度,严格按照操作规程、技术要求、质量标准进行施工,对违反操作规程者进行罚款,对造成安全事故者追究其责任,同时处以罚款,或其他处罚。
f 团结协作、紧密配合,积极当好项目经理的安全技术参谋,并与其他工种密切联系,做到互相通气,互相学习,取长补短,共同提高,确保工程质量、安全生产双丰收。
C.各班组组长(兼职安全员)
① 各班组组长作为兼职安全员是施工现场安全隐患和现场作业人员违章行为的监督员,对本班组的安全工作负有直接责任。
② 本着对安全主任负责,当接受安全主任的技术交底后,必须认真地组织本班组全体作业人员进行讨论,使人人懂安全、讲安全、抓安全,杜绝安全事故的发生。
③ 必须跟班作业,认真贯彻执行项目经理、项目安全主任对安全工作的各项指令,对本班组安全工作认真负责地进行监控,对违 章作业的人员及时进行批评教育,并令其及时改正,对不安全的隐患,及时发现,及时处理,并及时上报项目安全主任或项目安全组长,使本班组安全工作时时安全,天天安全,真正做到万无一失。
④ 认真做好本班组每一施工工序的安全自检工作,并做好自检记录。自检合格后上报安全主任进行安全复检,如复检不合格,则带领全班人员及时地认真整改,直到合格为止。
⑤ 对累教不改的违章作业人员提出处理意见,上报安全主任或项目安全组长,下达处罚罚款通知单,以利财会人员在工资结算时扣款或采取其他处罚措施。
⑥ 平时要认真作好安全工作记录,每星期向安全主任汇报一次本班组的安全工作情况。
施工安全组织机构图
项目经理
(安全第一责任人)
专职安全员
专项工程施工安全员
各专业施工班组长
(兼职安全员)
2.安全管理方法
根据“全员管理、安全第一”的原则,本工程实行专管与群管相结合的安全管理方法,专管由安全管理机构负责,群管则通过建立安全责任制来实施,安全施工责任制中,明确规定工程各级领导职能部门,专业施工队伍,施工班组和生产工人在施工生产中的安全责任,从而使安全管理工作既有章可循,又能落实到施工生产的每一道工序和环节,杜绝漏洞。
制定完善的安全生产规章制度,包括安全教育制度,安全技术交底制度,安全生产责任制,安全生产检查制度和安全奖罚制度等,根据各专项工程制定安全施工组织设计,包括安全用电、机械设备、交通维护、人员管理、技术措施等,确保措施完善,管理到位。
3.安全生产规章制度
A.安全教育制度
(1) 所有员工都必须参加由安全员做的安全培训,安全培训的内容报监理工程师批准,所有工人须经“三级安全教育”后,方可入岗安排工作,安全培训合格后再颁发工作卡和上岗证。
(2)各项工程施工前,施工技术负责人,必须结合施工技术交底,明确工程任务,同时下达安全技术措施交底卡,使施工班组及时做好有关安全防护工作。
(3) 施工班组长,在每日分配工作时,要向班组职工同时进行安全生产注意事项,安全意识教育。
(4) 专职(兼职)安全员在施工现场发现职工违章作业时,除及时制止外,需对违章操作的职工进行遵章守纪和按安全操作规程操作的再教育工作。
(5) 项目部及工程队领导,在召开职工大会和生产工作会议时,必须针对当前安全生产方针政策和安全生产情况进行安全教育,并做到逢会必讲安全生产。
(6) 各施工现场要按现场管理规定,张贴安全生产宣传标语及安全警示牌等,以强化职工安全生产意识。
(7) 为提高安全管理体制,项目部定期举办安全知识、操作规程、安全法规等培训教育和考核工作。
B.强化安全教育
(1)工程施工方案中,除编制明确有关工程施工安全技术措施外,施工期内需结合不同的分部、分项工程及季节的特点,施工进度情况,向施工班组及操作人员进行安全技术交底。
(2) 开工或施工前,项目部经理、现场施工负责人、技术负责人,必须针对工程特点和安全技术措施要求,及时召开施工班组长会议和全体职工大会,进行工程施工及安全生产技术措施等交底工作。
(3) 施工过程中的技术交底必须要有安全措施交底说明,列为工程资料存档,所下达的安全技术交底,必须一式四份送施工班组长。班组长应于每日上班前,在安排生产任务的同时,要结合技术交底要求,向操作工人交代当日生产应注意的安全事项及有关安全防护要求。
(4) 安全技术交底内容:
a 应遵守的安全操作规程要求及有关生产安全法规。
b 采取的安全防护设施、安全装置应符合验收使用规定。
c 操作者操作时的具体安全要求及注意事项。
D 一般性和关键性项目,在操作时必须遵守的安全管理要求。
C.安全生产检查制度
① 贯彻执行“预防为主,安全第一”的方针,实施班组自查和专业人员复查,领导组织定期与不定期检查相结合的方法,强化安全监督管理。
② 无论是定期、不定期的检查与抽查及其日常巡查或班组自查,均必须按建筑施工安全检查标准认真填写检查记录。
③ 按照建设部颁发的建筑施工安全检查标准和现场临时用电安全技术规范,针对检查结果找出存在问题,向所查工程有关人员通报,并提出整改意见。
④ 凡检查发现的问题,不论是管理方面或防护措施方面,均必须按整改要求限期整改,整改后所属部门或责任人,必须及时告知安全管理部门,进行整改情况复查,做好复查记录。
⑤ 安全负责人对正在进行的工作进行安全检查,并进行持续的监察,确保可能造成伤害或事故的因素得到控制,运行设备、工具以及设施按照相关的安全健康条例使用、检查以及维护。安全负责人每周与施工人员举行安全例会,每周向业主递交安全问题记录报告。
施工安全检查工作程序图
每道工序开工前
拟定安全保障体系
制定施工安全保障措施
制定施工安全奖惩办法
开 始 施 工
安全员进行安全检查
继 续 施 工
施 工 结 束
停工、整改
不合格
合 格
合格
D.安全生产奖惩制度
① 对开展安全生产活动有显著成绩和贡献的单位和个人,给予表扬或奖励。
② 对安全技术措施不执行,规章制度不遵守,造成工伤、设备事故的责任者,视其情况给予通报批评,赔偿经济损失和罚款,直至追究法律责任。
③ 进入施工现场不戴安全帽者,罚款50元,进入施工现场穿拖鞋、高跟鞋、赤脚者,罚款50元,再次违返者加倍。
④ 未经许可,私自拆除正在使用的安全防护装置、设施,视情节给予50—200元的罚款,损坏安全标志,除赔偿外,罚款50元,擅自迁移消防器材,罚款50元。
⑤ 不按规定地点卸料并堆叠混乱,影响安全生产、文明施工,罚款50元。
⑥ 配电设备不设门加锁并设有防雨措施者罚款50元。
⑦ 非核定人员私自操作机械设备者,罚款100元,酒后驾驶罚100元,再违者加倍。
⑧ 发生事故隐瞒不报告,罚责任人200元。
⑨ 每周进行安全生产评比和总结,通报处罚和奖励情况。
E.作业许可证制度
在开始施工前,建立作业许可证制度,提交所要进行的工作清单, 作业地点、使用工具,所有与工作相关潜在的危险以及所采取的保护措施,经项目管理安全负责人及监理方查验后才能进行施工。包括开挖作业许可、现场临时用电作业许可、高压配电箱作业许可、机械设备作业许可、禁止区域作业许可、指定地区作业许可、临时停工许可等。
4. 制定各项安全生产保证措施
A.临时建筑物
① 本工程的施工现场临时建筑物要求根据“安全、可靠、防火、防盗”的原则布置。认真规划,合理安排临时办公、生活用房、材料仓库、机械设备停放位置的布局,加强安全防火管理,现场配备足够的防火器材,并悬挂明显的安全防火标志牌,落实专人负责安全防火工作。
② 确保施工现场及甲方所属区域的安全,在工地范围四周设立临时围墙,并对出入口进行严格管理。
B.安全用电
① 施工用电的布置和使用必须执行“施工现场临时用电安全技术规范”和“用电检查评分表”的要求。
② 施工现场所有配电箱,均要安装漏电保护装置,电箱进出线,电源开关,保险装置安装必须符合安全规范,老化、破皮、不合格的电缆、电线一律不准使用,所有临时供电线路必须架设在绝缘子上。
③ 工地动力用电及照明电线路的设计必须经电力工程师审定,由专业电工进行安装,并经安全验收合格后方能使用。
④ 电动设备必须接零并根据地形安装必要的防雷装置,电工和机械工必须持证上岗,并配备必要的防护工具。严禁非专业电工安装、移动、搭设供电线路,严禁工人无证操作机械。
⑤ 坚持电工巡回检查制度,规定动力用电必须全天候值班检查,照明用电每周检查一次。
C.机械设备
① 进入施工场地的机械设备必须配备完整的防护装置,经检查合格后方可使用,大型机械设备必须处理临时基础,严格按照安全技术操作规程安置稳妥,经试机后方可投入施工。
② 操作人员应取得相应的操作证书,经核定合格后,才能上岗,并应请专业维修人员定期进行维修检查,在使用前应作好检查工作。
③ 不在使用中时,所有推土机、挖掘机等机械要将其车铲、叉等放在低位置,在维护、修理时要将其固定或堵塞。
D.交通维护
① 在施工期间不得妨碍正常交通,当施工确有必要需暂停交通时,要有适当的临时交通路线和安全设施。
② 施工期间,在作业地点白天设立警示线、红旗和危险警示牌等,夜间加挂红灯并设立围栏以保证安全。
③ 在拐弯或交通拥挤处,设专人指挥交通,工地施工的路口设一名人员指挥交通。
E.其它安全措施
① 加强与当地公安部门的密切联系,组织联防,设专职保安员,搞好治安保卫工作,特别是夜间的治安工作,工地保安应24小时值班,认真做好安全防盗工作,确保正常的生产和生活秩序。
② 重视水情和气象预报,一旦发现有可能危及工程安全和人身财产安全的供水或气象灾害的预兆时,应立即采取有效的防洪和防止气象灾害的措施,以确保工程和人身财产的安全及保证工程按计划进行。
十一、 雨季、台风和夏季高温施工保证措施
(一).雨季施工措施
本工程位置属亚热带季风性气候,雨季来得早,且持续时间长,降雨量大,地表水相当丰富,对于工程施工影响较大,这就要求我们必须给予周密考虑,统筹安排,以尽可能减少雨天对挖填土施工、地下管道施工工程进展带来的冲击。因而我们有必要制定相应的措施来保证工程进度。
-
- 抓好防洪抗汛的准备工作
本工程在施工前首先解决排水问题,低洼桥涵地段增设临时排水沟,保证雨天排水畅通;生活设施、材料堆放等不设在低洼处,积极加强与当地有关机构的联系,及时掌握天气和雨情变化情况,早作安排准备,防患于未然。
-
- 统筹好各单项工程的施工计划
针对本工程项目土方施工的特点,受天气影响较大,在工期上综合多方面因素予以安排,尽量抢晴天施工,雨天采取满足施工技术、质量和安全要求的针对性措施。一旦我们中标并收到开工通知后,我们将进一步编制实施性施工组织设计,确保在既定工期内统筹平衡各分项工程的进度计划,并详细制订出完成各阶段计划的具体措施,同时报监理工程师。
-
- 雨天施工的技术措施
(1)根据工期安排,本工程基本上要跨雨季4~9月份,工程项目不可避免要在雨季施工,这就要求我们在工作安排上要灵活机动,积极抢晴天,战雨天,见缝插针。若遇台风大风,大雨而不能正常施工,则利用这些时间进行设备检修,开展学习、培训,为下一步投入施工作好充分的准备。
(2)对于低洼地段的基础工程,原则上都安排在枯水季节进行,因此施工充分利用晴天时间,配备足够的施工机械,周密组织,在满足安全质量的前提下,将工期尽量缩短。
(3)基础处理的路基填筑工程在雨季施工时,注意集中力量,分段突击,做到挖、装、运、卸、压等工序衔接紧凑,一气呵成,若预报有雨时随挖、随运、随铺、随压实,根据土的透水性能每层表面留有2%—5%的横坡并整平。雨前和收工前将铺散的松土压实完毕,避免积水。
(4)正在施工或已施工完的粘性土表面上,雨季中若含水量已接近或超过塑性极限时,严禁运输机械行走,以免增加雨后排水晒干的难度;若已成泥泞土,用推土机将其推到一侧,使地面露出较干的土层,便于机械及早施工;对于路基土石方机械化施工,在作业面上一般会留出一层松土,雨后容易造成地面泥泞,此时尽量限制人、机械在上面走动。土方工作面以及道路应排水畅顺,不留坑洼,防止积水。
(5)浇注现浇砼的施工,避免在雨天进行,若正在施工时遇大雨,及时采取加盖、搭雨布等防水措施,确保砼施工质量不受影响等。
(6)由于项目涉及土方较多,因此雨天来临时尽量做好排水防洪工作,尽可能减少水土流失和塌方,保持生态环境,减少对当地居民生活的影响。
(7)施工场地的临时排水设施与永久排水设施尽量能相结合,经常清理所有排水通道,防止淤塞,保持施工现场排水畅顺。
(8)管涵基础的开挖注意做好边坡的保护措施,坡顶人工挖排水沟,防止集中水流冲刷边坡,沟槽底做好排水措施,确保基础区在无水状态下施工。
总之,雨季对工程施工极为不利,在生产安排上综合多方面的因素,采取行之有效的措施,严格把好质量关,以尽可能排除各种不利因素的影响。
(二)台风防患措施
1.成立临时防台风的组织机构。
项目经理担任领导小组组长,由项目部和各施工队部门领导为成员,组成防台风领导小组。
2.制定各项应急措施
(1)根据工程规模配备各种防台风的物资。
(2)落实抢险队伍,随时应急抗击台风的侵袭。
(3)制定工地抢险的实施计划和应急措施,确保机械设备和人员的安全。
3.密切与甲方和地方政府有关部门的联系,服从甲方上级领导的指示,做好防台风的一切防患措施。
4.台风过后迅速组织人员采取措施尽快恢复生产。
5.上述防台风一切具体措施将在进一步施工组织设计方案中详细编制计划措施。
(三).夏季高温施工措施
1.高温期应做好各项防暑降温措施。
2.施工安排应尽量避开高温时段的施工,施工现场采取雨篷防日晒或洒水降温,确保人员施工安全,保护人员健康。
3.砼施工应注意采取降温和洒水养护措施,特殊是大体和砼施工应严格按国家规范要求,采取相应的降温措施,以保证砼施工的质量。
4.夏季高温作业严格按深圳市和国家有关规范高温作业工程操作规程制定本工程相适应的夏季高温作业施工措施,以确保人员和设备的安全及工程施工质量。
雅居云录分户验收二维码与电子档案平台专业、高效分户验收电子档案:自动匹配项目信息 · 批量上传 · 一键生成二维码 · 精美排版
雅居云录分户验收,批量上传,自动排版,高效便捷,价值赋能。